Uconn Math Course Catalog
Uconn Math Course Catalog - It is the responsibility of the technician to use this information wisely, to respect the inherent dangers of the equipment, and to perform all repairs to the highest standard of quality. The true artistry of this sample, however, lies in its copy. The variety of features and equipment available for your NISSAN may vary depending on the model, trim level, options selected, and region. History provides the context for our own ideas. It was a tool for decentralizing execution while centralizing the brand's integrity. The user's behavior shifted from that of a browser to that of a hunter. In an era dominated by digital tools, the question of the relevance of a physical, printable chart is a valid one. He used animated scatter plots to show the relationship between variables like life expectancy and income for every country in the world over 200 years. The field of cognitive science provides a fascinating explanation for the power of this technology. It is a sample that reveals the profound shift from a one-to-many model of communication to a one-to-one model. Finally, for a professional team using a Gantt chart, the main problem is not individual motivation but the coordination of complex, interdependent tasks across multiple people. Psychologically, patterns can affect our mood and emotions. The Lane Keeping Assist system helps prevent unintentional lane departures by providing gentle steering inputs to keep the vehicle centered in its lane. 13 A well-designed printable chart directly leverages this innate preference for visual information. The process of driving your Toyota Ascentia is designed to be both intuitive and engaging. 62 A printable chart provides a necessary and welcome respite from the digital world. From a simple blank grid on a piece of paper to a sophisticated reward system for motivating children, the variety of the printable chart is vast, hinting at its incredible versatility. Even in a vehicle as reliable as a Toyota, unexpected situations can occur. 34 By comparing income to expenditures on a single chart, one can easily identify areas for potential savings and more effectively direct funds toward financial goals, such as building an emergency fund or investing for retirement. The IKEA catalog sample provided a complete recipe for a better life. The journey through an IKEA catalog sample is a journey through a dream home, a series of "aha!" moments where you see a clever solution and think, "I could do that in my place. For them, the grid was not a stylistic choice; it was an ethical one. Professionalism means replacing "I like it" with "I chose it because. The information presented here is accurate at the time of printing, but as we are constantly working to improve our vehicles through continuous development, we reserve the right to change specifications, design, or equipment at any time without notice or obligation. The Science of the Chart: Why a Piece of Paper Can Transform Your MindThe remarkable effectiveness of a printable chart is not a matter of opinion or anecdotal evidence; it is grounded in well-documented principles of psychology and neuroscience. If the engine does not crank at all, try turning on the headlights. This is your central hub for controlling navigation, climate, entertainment, and phone functions. A writer tasked with creating a business report can use a report template that already has sections for an executive summary, introduction, findings, and conclusion. 48 From there, the student can divide their days into manageable time blocks, scheduling specific periods for studying each subject. To be printable is to possess the potential for transformation—from a fleeting arrangement of pixels on a screen to a stable, tactile object in our hands; from an ephemeral stream of data to a permanent artifact we can hold, mark, and share. The future will require designers who can collaborate with these intelligent systems, using them as powerful tools while still maintaining their own critical judgment and ethical compass. My goal must be to illuminate, not to obfuscate; to inform, not to deceive. The utility of a printable chart in wellness is not limited to exercise. Tangible, non-cash rewards, like a sticker on a chart or a small prize, are often more effective than monetary ones because they are not mentally lumped in with salary or allowances and feel more personal and meaningful, making the printable chart a masterfully simple application of complex behavioral psychology. But spending a day simply observing people trying to manage their finances might reveal that their biggest problem is not a lack of features, but a deep-seated anxiety about understanding where their money is going. They are beautiful not just for their clarity, but for their warmth, their imperfection, and the palpable sense of human experience they contain. In conclusion, drawing is a multifaceted art form that has the power to inspire, challenge, and transform both the artist and the viewer. 58 This type of chart provides a clear visual timeline of the entire project, breaking down what can feel like a monumental undertaking into a series of smaller, more manageable tasks. The aesthetic is often the complete opposite of the dense, information-rich Amazon sample. The catalog, once a physical object that brought a vision of the wider world into the home, has now folded the world into a personalized reflection of the self. It is a fundamental recognition of human diversity, challenging designers to think beyond the "average" user and create solutions that work for everyone, without the need for special adaptation. 54 In this context, the printable chart is not just an organizational tool but a communication hub that fosters harmony and shared responsibility. A template, in this context, is not a limitation but a scaffold upon which originality can be built. This means you have to learn how to judge your own ideas with a critical eye. It is an act of generosity, a gift to future designers and collaborators, providing them with a solid foundation upon which to build. The idea of a chart, therefore, must be intrinsically linked to an idea of ethical responsibility. In the unfortunate event of an accident, your primary concern should be the safety of yourself and your passengers. It's the NASA manual reborn as an interactive, collaborative tool for the 21st century. It was a pale imitation of a thing I knew intimately, a digital spectre haunting the slow, dial-up connection of the late 1990s. The template is a distillation of experience and best practices, a reusable solution that liberates the user from the paralysis of the blank page and allows them to focus their energy on the unique and substantive aspects of their work. He nodded slowly and then said something that, in its simplicity, completely rewired my brain. A standard three-ring binder can become a customized life management tool. It is a bridge between our increasingly digital lives and our persistent need for tangible, physical tools. Let us examine a sample from a different tradition entirely: a page from a Herman Miller furniture catalog from the 1950s. This sample is not about instant gratification; it is about a slow, patient, and rewarding collaboration with nature. This was a recipe for paralysis. You can then lift the lid and empty any remaining water from the basin. Its close relative, the line chart, is the quintessential narrator of time. The first online catalogs, by contrast, were clumsy and insubstantial. You can find printable coloring books on virtually any theme. It has to be focused, curated, and designed to guide the viewer to the key insight. These historical journals offer a window into the past, revealing the thoughts, emotions, and daily activities of individuals from different eras. Master practitioners of this, like the graphics desks at major news organizations, can weave a series of charts together to build a complex and compelling argument about a social or economic issue. The printable revolution began with the widespread adoption of home computers. You can use a simple line and a few words to explain *why* a certain spike occurred in a line chart. An honest cost catalog would have to account for these subtle but significant losses, the cost to the richness and diversity of human culture. This is why an outlier in a scatter plot or a different-colored bar in a bar chart seems to "pop out" at us. It typically begins with a phase of research and discovery, where the designer immerses themselves in the problem space, seeking to understand the context, the constraints, and, most importantly, the people involved. The vehicle’s Vehicle Dynamic Control (VDC) system with Traction Control System (TCS) is always active while you drive. 9 The so-called "friction" of a paper chart—the fact that you must manually migrate unfinished tasks or that you have finite space on the page—is actually a powerful feature. A printable project plan template provides the columns and rows for tasks, timelines, and responsibilities, allowing a manager to focus on the strategic content rather than the document's structure. Next, adjust the steering wheel. It forces us to define what is important, to seek out verifiable data, and to analyze that data in a systematic way. 27 This type of chart can be adapted for various needs, including rotating chore chart templates for roommates or a monthly chore chart for long-term tasks. The typographic system defined in the manual is what gives a brand its consistent voice when it speaks in text. It transformed the text from a simple block of information into a thoughtfully guided reading experience. Experiment with different textures and shading techniques to give your drawings depth and realism. Before you click, take note of the file size if it is displayed. A budget chart can be designed with columns for fixed expenses, such as rent and insurance, and variable expenses, like groceries and entertainment, allowing for a comprehensive overview of where money is allocated each month. 21 A chart excels at this by making progress visible and measurable, transforming an abstract, long-term ambition into a concrete journey of small, achievable steps.Graduate Program Department of Mathematics
Home Osher Lifelong Learning Institute
Graduate Program Department of Mathematics
Home Department of Mathematics
Math 1020Q Problem Solving Course Description UConn
Uconn Course Catalog
A Comprehensive Guide to the Math Placement Exam at UConn Everything
By the Numbers 202324 UConn ECE Magazine
Materials Science and Engineering Curriculum and Course Guide
University Courses Catalog Template, Print Templates GraphicRiver
September 17, 2025 Undergraduate Mathematics Activities at UConn
2019 Math Professional Development UConn Early College
A Comprehensive Guide to the Math Placement Exam at UConn Everything
UCONN Math 3435 Spring 2018 Problem Set 1 PDF Partial
Upward Bound Math & Science Program Center for Access & Postsecondary
Math 1132Q Calculus II (Spring 2024) Math Courses
REU UConn Math Department of Mathematics
Math in the (Neuro)Sciences Rich Lab
A Comprehensive Guide to the Math Placement Exam at UConn Everything
Upward Bound Math & Science Program Center for Access & Postsecondary
Our Research Department of Mathematics
Home Department of Mathematics
Home Department of Mathematics
Resources Department of Mathematics
Undergraduate Program Department of Mathematics
Resources Department of Mathematics
Undergraduate Program Department of Mathematics
Graduate Program Department of Mathematics
Fillable Online undergrad business uconn Refer to the Undergraduate
Syllabus for MATH 1070Q TBA OneClass
Math 1131 Outline (Fall 2022) UCONN Math Courses Math 1131 Outline
Home Department of Mathematics
Undergraduate Program Department of Mathematics
Mathematics Placement Exam Course Placement
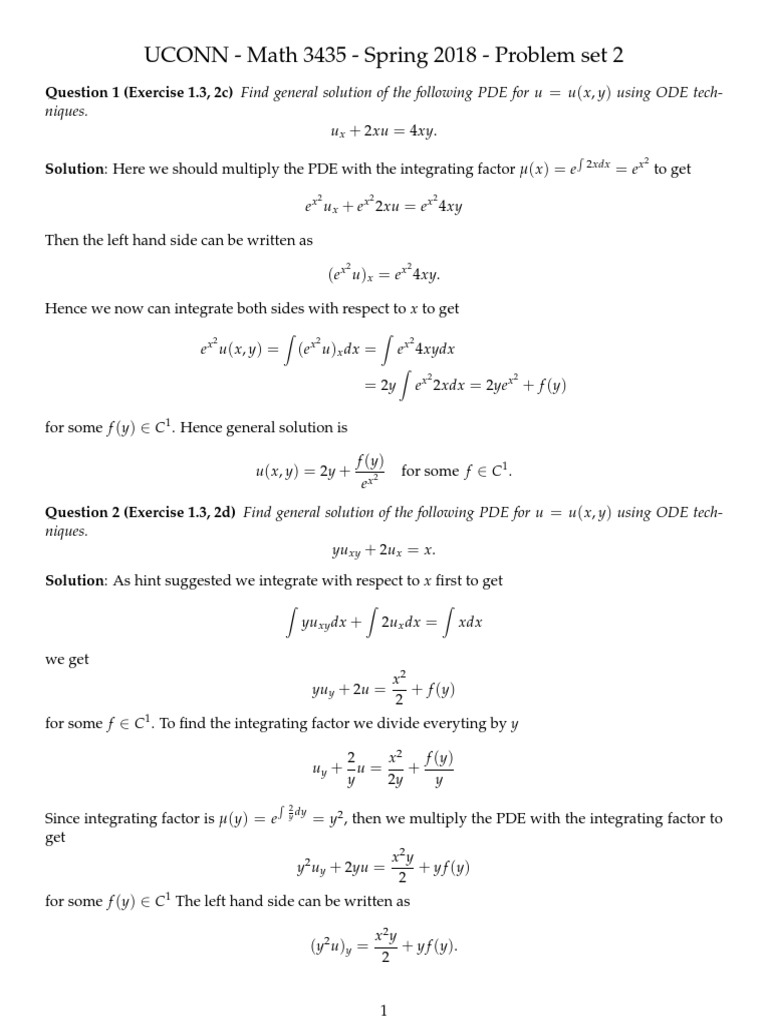
UCONN Math 3435 Spring 2018 Problem Set 2 PDF Partial
Related Post:






























