Tyco Pressure Relief Valve Catalog
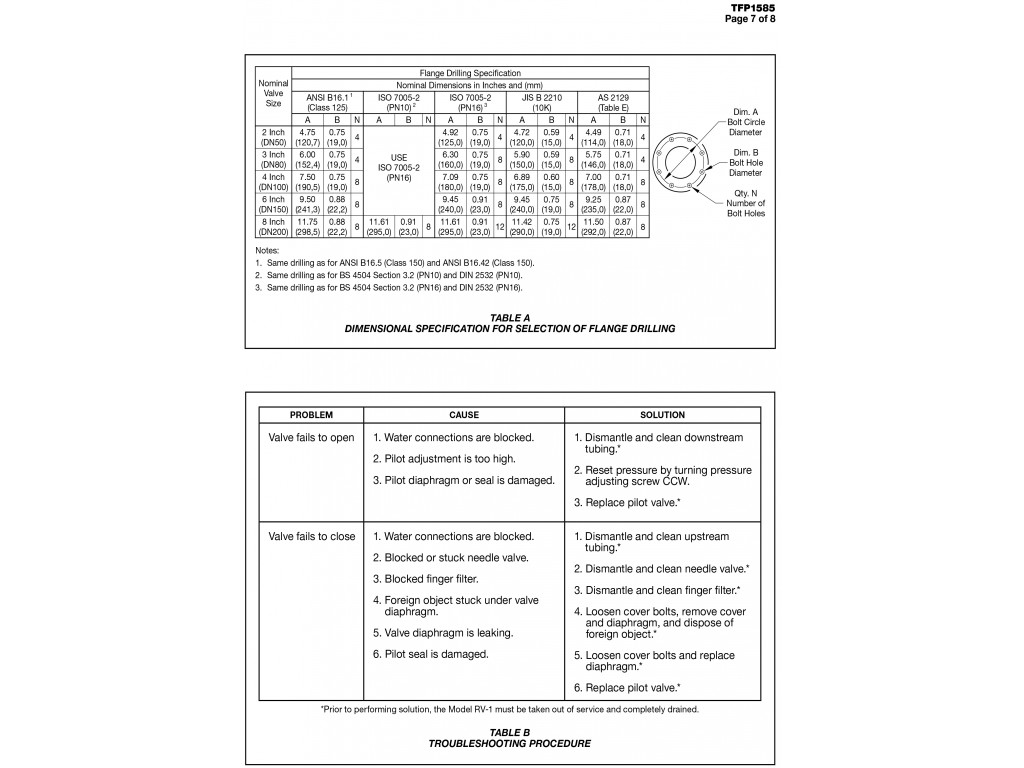
Tyco Pressure Relief Valve Catalog - I now understand that the mark of a truly professional designer is not the ability to reject templates, but the ability to understand them, to use them wisely, and, most importantly, to design them. 2 The beauty of the chore chart lies in its adaptability; there are templates for rotating chores among roommates, monthly charts for long-term tasks, and specific chore chart designs for teens, adults, and even couples. Sometimes it might be an immersive, interactive virtual reality environment. They must also consider standard paper sizes, often offering a printable template in both A4 (common internationally) and Letter (common in North America) formats. It considers the entire journey a person takes with a product or service, from their first moment of awareness to their ongoing use and even to the point of seeking support. If it senses that you are unintentionally drifting from your lane, it will issue an alert. Worksheets for math, reading, and science are widely available. It was hidden in the architecture, in the server rooms, in the lines of code. 61 The biggest con of digital productivity tools is the constant potential for distraction. Budgets are finite. Before lowering the vehicle, sit in the driver's seat and slowly pump the brake pedal several times. Procreate on the iPad is another popular tool for artists. It is a screenshot of my personal Amazon homepage, taken at a specific moment in time. The main real estate is taken up by rows of products under headings like "Inspired by your browsing history," "Recommendations for you in Home & Kitchen," and "Customers who viewed this item also viewed. I remember working on a poster that I was convinced was finished and perfect. This perspective suggests that data is not cold and objective, but is inherently human, a collection of stories about our lives and our world. A headline might be twice as long as the template allows for, a crucial photograph might be vertically oriented when the placeholder is horizontal. Many users send their files to local print shops for professional quality. We are pattern-matching creatures. Some printables are editable, allowing further personalization. 67 For a printable chart specifically, there are practical considerations as well. The "shopping cart" icon, the underlined blue links mimicking a reference in a text, the overall attempt to make the website feel like a series of linked pages in a book—all of these were necessary bridges to help users understand this new and unfamiliar environment. The world is saturated with data, an ever-expanding ocean of numbers. We are confident in the quality and craftsmanship of the Aura Smart Planter, and we stand behind our product. At this moment, the printable template becomes a tangible workspace. In the event of a collision, your vehicle is designed to protect you, but your first priority should be to assess for injuries and call for emergency assistance if needed. This technological consistency is the bedrock upon which the entire free printable ecosystem is built, guaranteeing a reliable transition from pixel to paper. Safety glasses should be worn at all times, especially during soldering or when prying components, to protect against flying debris or solder splashes. This is the realm of the ghost template. For a year, the two women, living on opposite sides of the Atlantic, collected personal data about their own lives each week—data about the number of times they laughed, the doors they walked through, the compliments they gave or received. 35 A well-designed workout chart should include columns for the name of each exercise, the amount of weight used, the number of repetitions (reps) performed, and the number of sets completed. Whether sketching a still life or capturing the fleeting beauty of a landscape, drawing provides artists with a sense of mindfulness and tranquility, fostering a deep connection between the artist and their artwork. Keeping your vehicle clean is not just about aesthetics; it also helps to protect the paint and bodywork from environmental damage. They help develop fine motor skills and creativity. A user can search online and find a vast library of printable planner pages, from daily schedules to monthly overviews. Each technique can create different textures and effects. Our brains are not naturally equipped to find patterns or meaning in a large table of numbers. 71 This eliminates the technical barriers to creating a beautiful and effective chart. Modern Applications of Pattern Images The origins of knitting are shrouded in mystery, with historical evidence suggesting that the craft may have begun as early as the 11th century. Building Better Habits: The Personal Development ChartWhile a chart is excellent for organizing external tasks, its true potential is often realized when it is turned inward to focus on personal growth and habit formation. Choose print-friendly colors that will not use an excessive amount of ink, and ensure you have adequate page margins for a clean, professional look when printed. The myth of the lone genius who disappears for a month and emerges with a perfect, fully-formed masterpiece is just that—a myth. A single page might contain hundreds of individual items: screws, bolts, O-rings, pipe fittings. They are integral to the function itself, shaping our behavior, our emotions, and our understanding of the object or space. To adjust it, push down the lock lever located under the steering column, move the wheel to the desired position, and then pull the lever back up firmly to lock it in place. I think when I first enrolled in design school, that’s what I secretly believed, and it terrified me. The natural human reaction to criticism of something you’ve poured hours into is to become defensive. 11 This dual encoding creates two separate retrieval pathways in our memory, effectively doubling the chances that we will be able to recall the information later. Using a smartphone, a user can now superimpose a digital model of a piece of furniture onto the camera feed of their own living room. The perfect, all-knowing cost catalog is a utopian ideal, a thought experiment. 5 When an individual views a chart, they engage both systems simultaneously; the brain processes the visual elements of the chart (the image code) while also processing the associated labels and concepts (the verbal code). While the consumer catalog is often focused on creating this kind of emotional and aspirational connection, there exists a parallel universe of catalogs where the goals are entirely different. They are in here, in us, waiting to be built. You will feel the pedal go down quite far at first and then become firm. The price of a piece of furniture made from rare tropical hardwood does not include the cost of a degraded rainforest ecosystem, the loss of biodiversity, or the displacement of indigenous communities. 37 A more advanced personal development chart can evolve into a tool for deep self-reflection, with sections to identify personal strengths, acknowledge areas for improvement, and formulate self-coaching strategies. The third shows a perfect linear relationship with one extreme outlier. So, we are left to live with the price, the simple number in the familiar catalog. This iterative cycle of build-measure-learn is the engine of professional design. The Professional's Chart: Achieving Academic and Career GoalsIn the structured, goal-oriented environments of the workplace and academia, the printable chart proves to be an essential tool for creating clarity, managing complexity, and driving success. These criteria are the soul of the chart; their selection is the most critical intellectual act in its construction. After choosing the location and name, click the "Save" button to start the download. 35 A well-designed workout chart should include columns for the name of each exercise, the amount of weight used, the number of repetitions (reps) performed, and the number of sets completed. The very definition of "printable" is currently undergoing its most radical and exciting evolution with the rise of additive manufacturing, more commonly known as 3D printing. A single smartphone is a node in a global network that touches upon geology, chemistry, engineering, economics, politics, sociology, and environmental science. You can use a simple line and a few words to explain *why* a certain spike occurred in a line chart. Consumers were no longer just passive recipients of a company's marketing message; they were active participants, co-creating the reputation of a product. An experiment involving monkeys and raisins showed that an unexpected reward—getting two raisins instead of the expected one—caused a much larger dopamine spike than a predictable reward. It’s a checklist of questions you can ask about your problem or an existing idea to try and transform it into something new. Understanding the deep-seated psychological reasons a simple chart works so well opens the door to exploring its incredible versatility. The fundamental grammar of charts, I learned, is the concept of visual encoding. Understanding the science behind the chart reveals why this simple piece of paper can be a transformative tool for personal and professional development, moving beyond the simple idea of organization to explain the specific neurological mechanisms at play. 34Beyond the academic sphere, the printable chart serves as a powerful architect for personal development, providing a tangible framework for building a better self. In a CMS, the actual content of the website—the text of an article, the product description, the price, the image files—is not stored in the visual layout. The digital format of the manual offers powerful tools that are unavailable with a printed version. An effective chart is one that is designed to work with your brain's natural tendencies, making information as easy as possible to interpret and act upon. My problem wasn't that I was incapable of generating ideas; my problem was that my well was dry. A well-designed chair is not beautiful because of carved embellishments, but because its curves perfectly support the human spine, its legs provide unwavering stability, and its materials express their inherent qualities without deception.TYCO RV1 PRESSURE RELIEF VALVE PILOT OPERATED Global Makmur Abadi
Tyco Valves & Controls Catalog PDF Valve Materials
Tyco Pressure Relief Valve, PilotOperated, Globe and Angle Body Styles
Tyco Valves PDF Valve Actuator
Relief Valves THINKTANK
Tyco Raphael PRV1 Flanged Pressure Reducing 4x4 Valve TFBP 250PSI
Tyco 126710500 Cash Valve K15 Pressure Angle Valve 500Psi Aeliya
TYCO RV1 PRESSURE RELIEF VALVE PILOT OPERATED Global Makmur Abadi
Relief Valves 1/4 NPT Male 1/4 NPT Male Tyco Valves & Controls Kunkle
TYCO Pressure Relief Valve UL Listed
TYCO PRV1 PRV PRESSURE REDUCING VALVE PILOT OPERATED Global Makmur Abadi
TYCO Pressure Relief Valve UL Listed
Johnson Controls Drops Tyco Pressure Control Valves for Fire Protection
TYCO RV1 Pressure Relief Valve Specs & Data
Pressure Reducing and Safety Relief Valves (Catalogue) Seng Hoe
Catalogo Válvulas TYCO PDF PDF Tubería (transporte de fluidos
Johnson Controls • Fluid Handling Pro
Relief Valves 1/4 NPT Male 1/4 NPT Male Tyco Valves & Controls Kunkle
Tyco Pressure Relief Valve Engineering Handbook (Tyco Flow Control
TYCO BUTTERFLY VALVE
Tyco 550012020 PRV1A 2" Grooved Pressure Reducing Valve
TYCO RV1 PRESSURE RELIEF VALVE PILOT OPERATED Global Makmur Abadi
1.0 inch Medium Pressure TD2 Test and Drain Valve Tyco, For Water at
Air Relief Valve (TYCO) 2 PDF
Tyco Pressure Relief Valve Engineering Handbook Flotech Inc
Tyco 126710500 Cash Valve K15 Pressure Angle Valve 500Psi Aeliya Marine
300 Psi Globe,Angle TYCO (PRV) Pressure Relief
Tyco RV1A Pressure Relief Valve In Saudi Arabia Tyco Saudi Arabia
(PDF) tyco relief valve design handbook DOKUMEN.TIPS
923431020 TYCO 1/4 PRESSURE RELIEF Galloup
Tyco Relief valve PDF Valve Screw
Pressure Relief Valve,Tyco Pressure Relief Valve Model PRV1
Tyco 126710500 Cash Valve K15 Pressure Angle Valve 500Psi
Pressure relief valve
Related Post:



























