Simulated Hetdex Catalog Of Lyman-Alpha Emitters
Simulated Hetdex Catalog Of Lyman-Alpha Emitters - It was the catalog dematerialized, and in the process, it seemed to have lost its soul. It's a way to make the idea real enough to interact with. It is an artifact that sits at the nexus of commerce, culture, and cognition. The fields to be filled in must be clearly delineated and appropriately sized. The soaring ceilings of a cathedral are designed to inspire awe and draw the eye heavenward, communicating a sense of the divine. Complementing the principle of minimalism is the audience-centric design philosophy championed by expert Stephen Few, which emphasizes creating a chart that is optimized for the cognitive processes of the viewer. It is crucial to remember that Toyota Safety Sense systems are driver aids; they are not a substitute for attentive driving and do not provide the ability to drive the vehicle autonomously. The procedure for changing a tire is detailed step-by-step in the "Emergency Procedures" chapter of this manual. The products it surfaces, the categories it highlights, the promotions it offers are all tailored to that individual user. 42The Student's Chart: Mastering Time and Taming DeadlinesFor a student navigating the pressures of classes, assignments, and exams, a printable chart is not just helpful—it is often essential for survival and success. Users can modify colors, fonts, layouts, and content to suit their specific needs and preferences. Today, the world’s most comprehensive conversion chart resides within the search bar of a web browser or as a dedicated application on a smartphone. Arrange elements to achieve the desired balance in your composition. The act of looking at a price in a catalog can no longer be a passive act of acceptance. The first and most important principle is to have a clear goal for your chart. A designer using this template didn't have to re-invent the typographic system for every page; they could simply apply the appropriate style, ensuring consistency and saving an enormous amount of time. This inclusion of the user's voice transformed the online catalog from a monologue into a conversation. Please keep this manual in your vehicle so you can refer to it whenever you need information. 36 The daily act of coloring in a square or making a checkmark on the chart provides a small, motivating visual win that reinforces the new behavior, creating a system of positive self-reinforcement. As we continue to navigate a world of immense complexity and choice, the need for tools that provide clarity and a clear starting point will only grow. The furniture, the iconic chairs and tables designed by Charles and Ray Eames or George Nelson, are often shown in isolation, presented as sculptural forms. The next leap was the 360-degree view, allowing the user to click and drag to rotate the product as if it were floating in front of them. But our understanding of that number can be forever changed. The playlist, particularly the user-generated playlist, is a form of mini-catalog, a curated collection designed to evoke a specific mood or theme. " Playfair’s inventions were a product of their time—a time of burgeoning capitalism, of nation-states competing on a global stage, and of an Enlightenment belief in reason and the power of data to inform public life. Turn off the engine and allow it to cool down completely before attempting to check the coolant level. If the download process itself is very slow or fails before completion, this is almost always due to an unstable internet connection. Digital environments are engineered for multitasking and continuous partial attention, which imposes a heavy extraneous cognitive load. It is an act of respect for the brand, protecting its value and integrity. I have come to see that the creation of a chart is a profound act of synthesis, requiring the rigor of a scientist, the storytelling skill of a writer, and the aesthetic sensibility of an artist. The sewing pattern template ensures that every piece is the correct size and shape, allowing for the consistent construction of a complex three-dimensional object. Remove the chuck and any tooling from the turret that may obstruct access. Presentation templates aid in the creation of engaging and informative lectures. Reconnect the battery connector and secure its metal bracket with its two screws. The act of looking at a price in a catalog can no longer be a passive act of acceptance. It’s also why a professional portfolio is often more compelling when it shows the messy process—the sketches, the failed prototypes, the user feedback—and not just the final, polished result. What Tufte articulated as principles of graphical elegance are, in essence, practical applications of cognitive psychology. The prominent guarantee was a crucial piece of risk-reversal. As I got deeper into this world, however, I started to feel a certain unease with the cold, rational, and seemingly objective approach that dominated so much of the field. A chart, therefore, possesses a rhetorical and ethical dimension. This catalog sample is unique in that it is not selling a finished product. 50 Chart junk includes elements like 3D effects, heavy gridlines, unnecessary backgrounds, and ornate frames that clutter the visual field and distract the viewer from the core message of the data. The "printable" aspect is not a legacy feature but its core strength, the very quality that enables its unique mode of interaction. 9 For tasks that require deep focus, behavioral change, and genuine commitment, the perceived inefficiency of a physical chart is precisely what makes it so effective. A good-quality socket set, in both metric and standard sizes, is the cornerstone of your toolkit. And at the end of each week, they would draw their data on the back of a postcard and mail it to the other. Flipping through its pages is like walking through the hallways of a half-forgotten dream. Operating your Aeris Endeavour is a seamless and intuitive experience. Personal Protective Equipment, including but not limited to, ANSI-approved safety glasses with side shields, steel-toed footwear, and appropriate protective gloves, must be worn at all times when working on or near the lathe. It sits there on the page, or on the screen, nestled beside a glossy, idealized photograph of an object. This is where the ego has to take a backseat. The principles you learned in the brake job—safety first, logical disassembly, cleanliness, and proper reassembly with correct torque values—apply to nearly every other repair you might attempt on your OmniDrive. Innovation and the Future of Crochet Time constraints can be addressed by setting aside a specific time each day for journaling, even if it is only for a few minutes. Your Ascentia also features selectable driving modes, which can be changed using the switches near the gear lever. It is, first and foremost, a tool for communication and coordination. They are acts of respect for your colleagues’ time and contribute directly to the smooth execution of a project. Time Efficiency: Templates eliminate the need to start from scratch, allowing users to quickly produce professional-quality documents, designs, or websites. The free printable acts as a demonstration of expertise and a gesture of goodwill, building trust and showcasing the quality of the creator's work. It has transformed our shared cultural experiences into isolated, individual ones. The aesthetic is often the complete opposite of the dense, information-rich Amazon sample. Constant exposure to screens can lead to eye strain, mental exhaustion, and a state of continuous partial attention fueled by a barrage of notifications. The printable planner is a quintessential example. There were four of us, all eager and full of ideas. They might start with a simple chart to establish a broad trend, then use a subsequent chart to break that trend down into its component parts, and a final chart to show a geographical dimension or a surprising outlier. The digital revolution has amplified the power and accessibility of the template, placing a virtually infinite library of starting points at our fingertips. It is a "try before you buy" model for the information age, providing immediate value to the user while creating a valuable marketing asset for the business. A professional might use a digital tool for team-wide project tracking but rely on a printable Gantt chart for their personal daily focus. The object it was trying to emulate was the hefty, glossy, and deeply magical print catalog, a tome that would arrive with a satisfying thud on the doorstep and promise a world of tangible possibilities. In the intricate lexicon of creation, whether artistic, technological, or personal, there exists a concept as pervasive as it is elusive, a guiding force that operates just beneath the surface of our conscious efforts. A personal development chart makes these goals concrete and measurable. They now have to communicate that story to an audience. Never probe live circuits unless absolutely necessary for diagnostics, and always use properly insulated tools and a calibrated multimeter. I had to specify its exact values for every conceivable medium. The animation transformed a complex dataset into a breathtaking and emotional story of global development. This led me to the work of statisticians like William Cleveland and Robert McGill, whose research in the 1980s felt like discovering a Rosetta Stone for chart design. The pressure in those first few months was immense. Celebrate your achievements and set new goals to continue growing. They ask questions, push for clarity, and identify the core problem that needs to be solved. In literature and filmmaking, narrative archetypes like the "Hero's Journey" function as a powerful story template. This blend of tradition and innovation is what keeps knitting vibrant and relevant in the modern world.PPT Evolution in Lymanalpha Emitters and Lymanbreak Galaxies
Evidence for Large Scale Neutral Hydrogen Gas Absorption in the
Lyman Alpha Emitter YouTube
LymanAlpha Emitters Subaru Gallery Subaru Telescope
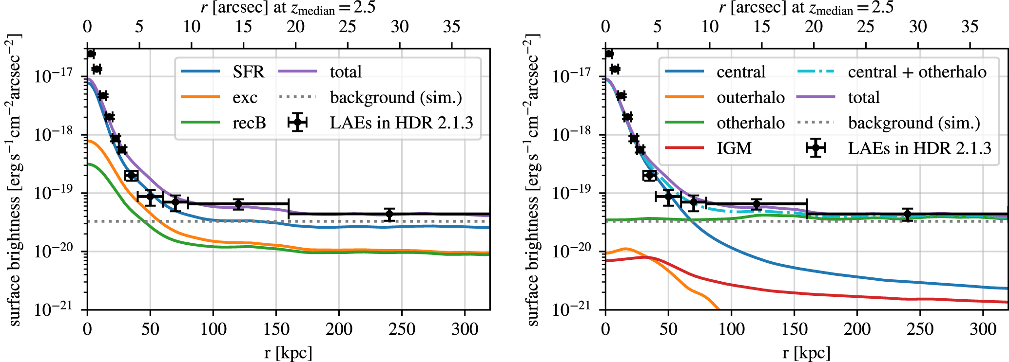
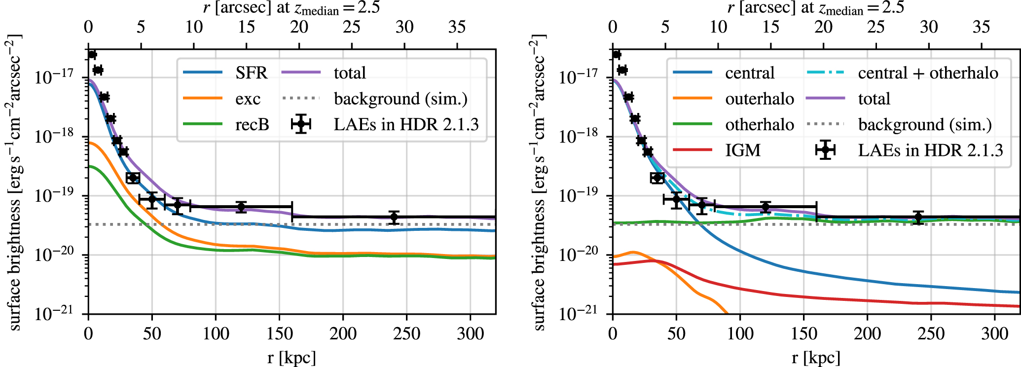
Surface Brightness Profile of Lymanα Halos out to 320 kpc in HETDEX
(PDF) Lyman Alpha Emitters in gravitational lensed fields
(PDF) A Search for Lensed LymanAlpha Emitters within the Early HETDEX
(PDF) Identifying Lyman Alpha Emitters powered by AGNs
HETDEX Public Source Catalog 1—Stacking 50,000 Lyman Alpha Emitters
Representative example of simulated measurements of the Lymanα and He
Figure 10 from Probing the faint end luminosity function of Lyman alpha
(PDF) Stellar Populations of Lymanalpha Emitting Galaxies in the
PPT HETDEX SURVEY FOR LYMAN ALPHA EMITTERS AT 2
PPT Connections between Lyman Break Galaxies and Lyman Alpha Emitters
(PDF) Surface Brightness Profile of Lyman\alpha Halos out to 320 kpc
9 Lyman Alpha Emitters at redshift z = 5 . 9 Red dots show the
PPT Evolution in Lymanalpha Emitters and Lymanbreak Galaxies
(PDF) Detecting Lyman Alpha Emitters in the Submillimeter
Lyman α
Lyman α
Evidence for Large Scale Neutral Hydrogen Gas Absorption in the
Revealing the Secrets of Lyman Alpha Emitters The Power of Stacking
Simulated observations of a section of Lymanα forest at z6
Simulating Lymanalpha Emitters Chris Byrohl
Revealing the Secrets of Lyman Alpha Emitters The Power of Stacking
Lymanalpha emitter Astrophotography since the late 1970s 100 years
Lyman Alpha Emitters Cosmic Origins, Analysis & Impact
PPT HETDEX SURVEY FOR LYMAN ALPHA EMITTERS AT 2
PPT HETDEX PILOT SURVEY FOR LYMAN ALPHA EMITTERS AT 2
[2301.01826] HETDEX Public Source Catalog 1 220 K Sources Including
[2301.01826] HETDEX Public Source Catalog 1 220 K Sources Including
(PDF) Surface Brightness Profile of Lymanα Halos out to 320 kpc in HETDEX
HETDEX Public Source Catalog 1—Stacking 50,000 Lyman Alpha Emitters
Simulating Lymanalpha Emitters Chris Byrohl
PPT Evolution in Lymanalpha Emitters and Lymanbreak Galaxies
Related Post:





























![[2301.01826] HETDEX Public Source Catalog 1 220 K Sources Including](https://ar5iv.labs.arxiv.org/html/2301.01826/assets/x1.png)
![[2301.01826] HETDEX Public Source Catalog 1 220 K Sources Including](https://ar5iv.labs.arxiv.org/html/2301.01826/assets/x4.png)



