Ohlone Course Catalog
Ohlone Course Catalog - The link itself will typically be the title of the document, such as "Owner's Manual," followed by the model number and sometimes the language. A classic print catalog was a finite and curated object. Nature has already solved some of the most complex design problems we face. 102 In the context of our hyper-connected world, the most significant strategic advantage of a printable chart is no longer just its ability to organize information, but its power to create a sanctuary for focus. If you wish to grow your own seeds, simply place them into the small indentation at the top of a fresh smart-soil pod. A printable version of this chart ensures that the project plan is a constant, tangible reference for the entire team. The center of your dashboard is dominated by the SYNC 4 infotainment system, which features a large touchscreen display. In a world saturated with information and overflowing with choice, the comparison chart is more than just a convenience; it is a vital tool for navigation, a beacon of clarity that helps us to reason our way through complexity towards an informed and confident decision. A chart can be an invaluable tool for making the intangible world of our feelings tangible, providing a structure for understanding and managing our inner states. It is a masterpiece of information density and narrative power, a chart that functions as history, as data analysis, and as a profound anti-war statement. A simple search on a platform like Pinterest or a targeted blog search unleashes a visual cascade of options. But the moment you create a simple scatter plot for each one, their dramatic differences are revealed. A printable chart is inherently free of digital distractions, creating a quiet space for focus. The tactile and handmade quality of crochet pieces adds a unique element to fashion, contrasting with the mass-produced garments that dominate the industry. This single component, the cost of labor, is a universe of social and ethical complexity in itself, a story of livelihoods, of skill, of exploitation, and of the vast disparities in economic power across the globe. Proper positioning within the vehicle is the first step to confident and safe driving. Another fundamental economic concept that a true cost catalog would have to grapple with is that of opportunity cost. The Bauhaus school in Germany, perhaps the single most influential design institution in history, sought to reunify art, craft, and industry. 'ECO' mode optimizes throttle response and climate control for maximum fuel efficiency, 'NORMAL' mode provides a balanced blend of performance and efficiency suitable for everyday driving, and 'SPORT' mode sharpens throttle response for a more dynamic driving feel. A designer decides that this line should be straight and not curved, that this color should be warm and not cool, that this material should be smooth and not rough. It is in the deconstruction of this single, humble sample that one can begin to unravel the immense complexity and cultural power of the catalog as a form, an artifact that is at once a commercial tool, a design object, and a deeply resonant mirror of our collective aspirations. We thank you for taking the time to follow these instructions and wish you the best experience with your product. I thought design happened entirely within the design studio, a process of internal genius. This could be incredibly valuable for accessibility, or for monitoring complex, real-time data streams. That figure is not an arbitrary invention; it is itself a complex story, an economic artifact that represents the culmination of a long and intricate chain of activities. We see it in the business models of pioneering companies like Patagonia, which have built their brand around an ethos of transparency. But the revelation came when I realized that designing the logo was only about twenty percent of the work. But professional design is deeply rooted in empathy. I had to define a primary palette—the core, recognizable colors of the brand—and a secondary palette, a wider range of complementary colors for accents, illustrations, or data visualizations. Form and function are two sides of the same coin, locked in an inseparable and dynamic dance. 56 This means using bright, contrasting colors to highlight the most important data points and muted tones to push less critical information to the background, thereby guiding the viewer's eye to the key insights without conscious effort. This multidisciplinary approach can be especially beneficial for individuals who find traditional writing limiting or who seek to explore their creativity in new ways. It is the beauty of pure function, of absolute clarity, of a system so well-organized that it allows an expert user to locate one specific item out of a million possibilities with astonishing speed and confidence. Does the experience feel seamless or fragmented? Empowering or condescending? Trustworthy or suspicious? These are not trivial concerns; they are the very fabric of our relationship with the built world. It is the unassuming lexicon that allows a baker in North America to understand a European recipe, a scientist in Japan to replicate an experiment from a British journal, and a manufacturer in Germany to build parts for a machine designed in the United States. To get an accurate reading, park on a level surface, switch the engine off, and wait a few minutes for the oil to settle. They were the holy trinity of Microsoft Excel, the dreary, unavoidable illustrations in my high school science textbooks, and the butt of jokes in business presentations. 20 This small "win" provides a satisfying burst of dopamine, which biochemically reinforces the behavior, making you more likely to complete the next task to experience that rewarding feeling again. You are prompted to review your progress more consciously and to prioritize what is truly important, as you cannot simply drag and drop an endless list of tasks from one day to the next. The product is often not a finite physical object, but an intangible, ever-evolving piece of software or a digital service. This could provide a new level of intuitive understanding for complex spatial data. I saw them as a kind of mathematical obligation, the visual broccoli you had to eat before you could have the dessert of creative expression. The steering wheel itself contains a number of important controls, including buttons for operating the cruise control, adjusting the audio volume, answering phone calls, and navigating the menus on the instrument cluster display. The hybrid system indicator provides real-time feedback on your driving, helping you to drive more efficiently. 71 The guiding philosophy is one of minimalism and efficiency: erase non-data ink and erase redundant data-ink to allow the data to speak for itself. The typography and design of these prints can be beautiful. But I no longer think of design as a mystical talent. They are visual thoughts. Whether practiced for personal enjoyment, professional advancement, or therapeutic healing, drawing is an endless journey of creativity and expression that enriches our lives and connects us to the world around us. After design, the image must be saved in a format that preserves its quality. Use a reliable tire pressure gauge to check the pressure in all four tires at least once a month. Professionalism means replacing "I like it" with "I chose it because. Form is the embodiment of the solution, the skin, the voice that communicates the function and elevates the experience. This system, this unwritten but universally understood template, was what allowed them to produce hundreds of pages of dense, complex information with such remarkable consistency, year after year. Loosen and remove the drive belt from the spindle pulley. Many times, you'll fall in love with an idea, pour hours into developing it, only to discover through testing or feedback that it has a fundamental flaw. It confirms that the chart is not just a secondary illustration of the numbers; it is a primary tool of analysis, a way of seeing that is essential for genuine understanding. It is a mirror that can reflect the complexities of our world with stunning clarity, and a hammer that can be used to build arguments and shape public opinion. To be a responsible designer of charts is to be acutely aware of these potential pitfalls. Its effectiveness is not based on nostalgia but is firmly grounded in the fundamental principles of human cognition, from the brain's innate preference for visual information to the memory-enhancing power of handwriting. In the unfortunate event of an accident, your primary concern should be the safety of yourself and your passengers. The printable chart is not a monolithic, one-size-fits-all solution but rather a flexible framework for externalizing and structuring thought, which morphs to meet the primary psychological challenge of its user. The search bar became the central conversational interface between the user and the catalog. The instrument cluster, located directly in front of you, features large analog gauges for the speedometer and tachometer, providing traditional, at-a-glance readability. Alternatively, it could be a mind map, with a central concept like "A Fulfilling Life" branching out into core value clusters such as "Community," "Learning," "Security," and "Adventure. Now, it is time for a test drive. A detective novel, a romantic comedy, a space opera—each follows a set of established conventions and audience expectations. This process, often referred to as expressive writing, has been linked to numerous mental health benefits, including reduced stress, improved mood, and enhanced overall well-being. 19 A printable chart can leverage this effect by visually representing the starting point, making the journey feel less daunting and more achievable from the outset. At its essence, drawing in black and white is a study in light and shadow. The most innovative and successful products are almost always the ones that solve a real, observed human problem in a new and elegant way. These motivations exist on a spectrum, ranging from pure altruism to calculated business strategy. A printable chart, therefore, becomes more than just a reference document; it becomes a personalized artifact, a tangible record of your own thoughts and commitments, strengthening your connection to your goals in a way that the ephemeral, uniform characters on a screen cannot. The journey of any printable file, from its careful digital design to its final tangible form, represents a powerful act of creation. The printable revolution began with the widespread adoption of home computers. Place important elements along the grid lines or at their intersections to create a balanced and dynamic composition. Origins and Historical Journey The Role of Gratitude Journaling Home and Personal Use Business Crochet also fosters a sense of community. I realized that the work of having good ideas begins long before the project brief is even delivered.Ohlone College
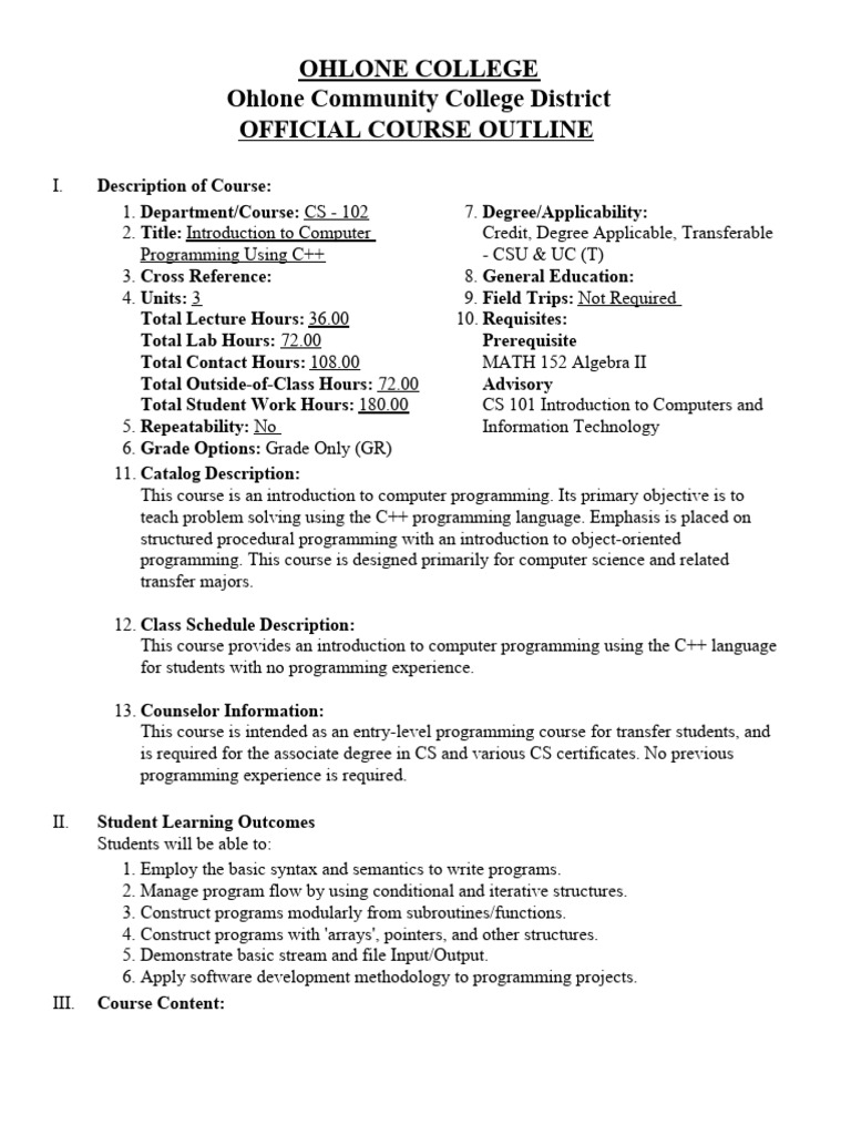
Ohlone UMich Course Outline Report (DS) PDF Control Flow
Ohlone for Kids After School and Summer Enrichment Programs Ohlone
Course Catalog MyOhlone Selfservice
PPT Ohlone College Connections PowerPoint Presentation, free download
Late Start Classes Admissions and Records Ohlone College, Fremont
20102011 Catalog (all pages) Ohlone College
Ohlone College Community Education Ohlone College
Spring 2017 Ohlone College Class Schedule by Ohlone College Issuu
Digital Arts & Interactive Design Courses Ohlone College
ohlonecares Ohlone College
New Students Admissions Ohlone College
Course Catalog MyOhlone Selfservice
Admissions and Records Ohlone College
Digital Arts & Interactive Design Courses Ohlone College
Ohlone College
COURSES
Counseling Department Ohlone College
Ohlone for Kids After School and Summer Enrichment Programs Ohlone
20042005 Catalog by Ohlone College Issuu
Request a Catalog Ohlone College
Ohlone College, A World of Cultures United in Learning Ohlone College
Request a Catalog Ohlone College
Ohlone for Kids classes India Parent Magazine
Free Modern Course Catalog Template to Edit Online
Online Courses from Ohlone College
Course Catalog MyOhlone Selfservice
20152016 Catalog (Services for Students)
Start off 2024 strong with our 3 week, 3 unit and online cyber session
The Ohlone 50K Where Dreams That You Dare To Dream Come Back to Haunt
Ohlone > UMich course_outline_report PDF Mathematical Proof
Ohlone Academic Calendar Printable Calendars AT A GLANCE
Student Resources Ohlone College
Related Post:





























