Oakton Community College Catalog Math 131
Oakton Community College Catalog Math 131 - You must have your foot on the brake to shift out of Park. They are pushed, pulled, questioned, and broken. This involves making a conscious choice in the ongoing debate between analog and digital tools, mastering the basic principles of good design, and knowing where to find the resources to bring your chart to life. It is a fundamental recognition of human diversity, challenging designers to think beyond the "average" user and create solutions that work for everyone, without the need for special adaptation. Performing regular maintenance is the most effective way to ensure that your Ford Voyager continues to run smoothly and safely. 48 From there, the student can divide their days into manageable time blocks, scheduling specific periods for studying each subject. Each of us carries a vast collection of these unseen blueprints, inherited from our upbringing, our culture, and our formative experiences. In Scotland, for example, the intricate Fair Isle patterns became a symbol of cultural identity and economic survival. A well-designed printable file is a self-contained set of instructions, ensuring that the final printed output is a faithful and useful representation of the original digital design. Every search query, every click, every abandoned cart was a piece of data, a breadcrumb of desire. This brings us to the future, a future where the very concept of the online catalog is likely to transform once again. It is the beauty of pure function, of absolute clarity, of a system so well-organized that it allows an expert user to locate one specific item out of a million possibilities with astonishing speed and confidence. Whether it's capturing the subtle nuances of light and shadow or conveying the raw emotion of a subject, black and white drawing invites viewers to see the world in a new light. Within the support section, you will find several resources, such as FAQs, contact information, and the manual download portal. These simple functions, now utterly commonplace, were revolutionary. Ultimately, the choice between digital and traditional journaling depends on personal preferences and the specific needs of the individual. It proved that the visual representation of numbers was one of the most powerful intellectual technologies ever invented. And at the end of each week, they would draw their data on the back of a postcard and mail it to the other. In addition to being a form of personal expression, drawing also has practical applications in various fields such as design, architecture, and education. It embraced complexity, contradiction, irony, and historical reference. Looking back at that terrified first-year student staring at a blank page, I wish I could tell him that it’s not about magic. The catalog, in this naive view, was a simple ledger of these values, a transparent menu from which one could choose, with the price acting as a reliable guide to the quality and desirability of the goods on offer. The goal is not just to sell a product, but to sell a sense of belonging to a certain tribe, a certain aesthetic sensibility. My toolbox was growing, and with it, my ability to tell more nuanced and sophisticated stories with data. It's about collaboration, communication, and a deep sense of responsibility to the people you are designing for. It’s the understanding that the best ideas rarely emerge from a single mind but are forged in the fires of constructive debate and diverse perspectives. Studying architecture taught me to think about ideas in terms of space and experience. As I began to reluctantly embrace the template for my class project, I decided to deconstruct it, to take it apart and understand its anatomy, not just as a layout but as a system of thinking. People initially printed documents, letters, and basic recipes. My brother and I would spend hours with a sample like this, poring over its pages with the intensity of Talmudic scholars, carefully circling our chosen treasures with a red ballpoint pen, creating our own personalized sub-catalog of desire. A more expensive coat was a warmer coat. The role of crochet in art and design is also expanding. They might therefore create a printable design that is minimalist, using clean lines and avoiding large, solid blocks of color to make the printable more economical for the user. If any of the red warning lights on your instrument panel illuminate while driving, it signifies a potentially serious problem. Everything else—the heavy grid lines, the unnecessary borders, the decorative backgrounds, the 3D effects—is what he dismissively calls "chart junk. In science and engineering, where collaboration is global and calculations must be exact, the metric system (specifically the International System of Units, or SI) is the undisputed standard. We thank you for taking the time to follow these instructions and wish you the best experience with your product. The printable template is the key that unlocks this fluid and effective cycle. Some of the best ideas I've ever had were not really my ideas at all, but were born from a conversation, a critique, or a brainstorming session with my peers. This single, complex graphic manages to plot six different variables on a two-dimensional surface: the size of the army, its geographical location on a map, the direction of its movement, the temperature on its brutal winter retreat, and the passage of time. The enduring power of this simple yet profound tool lies in its ability to translate abstract data and complex objectives into a clear, actionable, and visually intuitive format. 58 Ethical chart design requires avoiding any form of visual distortion that could mislead the audience. This is why taking notes by hand on a chart is so much more effective for learning and commitment than typing them verbatim into a digital device. Embrace them as opportunities to improve and develop your skills. Inclusive design, or universal design, strives to create products and environments that are accessible and usable by people of all ages and abilities. For comparing change over time, a simple line chart is often the right tool, but for a specific kind of change story, there are more powerful ideas. Adjust the seat height until you have a clear view of the road and the instrument panel. We understand that for some, the familiarity of a paper manual is missed, but the advantages of a digital version are numerous. Once a story or an insight has been discovered through this exploratory process, the designer's role shifts from analyst to storyteller. This inclusion of the user's voice transformed the online catalog from a monologue into a conversation. Teachers and parents rely heavily on these digital resources. It is a catalog of the internal costs, the figures that appear on the corporate balance sheet. It created this beautiful, flowing river of data, allowing you to trace the complex journey of energy through the system in a single, elegant graphic. I see it as one of the most powerful and sophisticated tools a designer can create. The chart is a quiet and ubiquitous object, so deeply woven into the fabric of our modern lives that it has become almost invisible. I'm fascinated by the world of unconventional and physical visualizations. To be a responsible designer of charts is to be acutely aware of these potential pitfalls. I was proud of it. 45 This immediate clarity can significantly reduce the anxiety and uncertainty that often accompany starting a new job. The visual language is radically different. 58 For project management, the Gantt chart is an indispensable tool. This makes the chart a simple yet sophisticated tool for behavioral engineering. Far more than a mere organizational accessory, a well-executed printable chart functions as a powerful cognitive tool, a tangible instrument for strategic planning, and a universally understood medium for communication. Position your mouse cursor over the download link. You couldn't feel the texture of a fabric, the weight of a tool, or the quality of a binding. For exploring the relationship between two different variables, the scatter plot is the indispensable tool of the scientist and the statistician. The constant, low-level distraction of the commercial world imposes a significant cost on this resource, a cost that is never listed on any price tag. Technological advancements are also making their mark on crochet. One person had put it in a box, another had tilted it, another had filled it with a photographic texture. It is a guide, not a prescription. Beauty, clarity, and delight are powerful tools that can make a solution more effective and more human. The convenience and low prices of a dominant online retailer, for example, have a direct and often devastating cost on local, independent businesses. Each choice is a word in a sentence, and the final product is a statement. The five-star rating, a simple and brilliant piece of information design, became a universal language, a shorthand for quality that could be understood in a fraction of a second. "I need a gift for my father. It created this beautiful, flowing river of data, allowing you to trace the complex journey of energy through the system in a single, elegant graphic. They are in here, in us, waiting to be built. This multimedia approach was a concerted effort to bridge the sensory gap, to use pixels and light to simulate the experience of physical interaction as closely as possible.2023 News and Events
2024 News and Events I Oakton College
OAKTON COMMUNITY COLLEGE GENERIC COURSE SYLLABUS
Math 250 * Calculus I Oakton Community College
generic course syllabus Oakton Community College
Oakton College Locations & Campus Maps
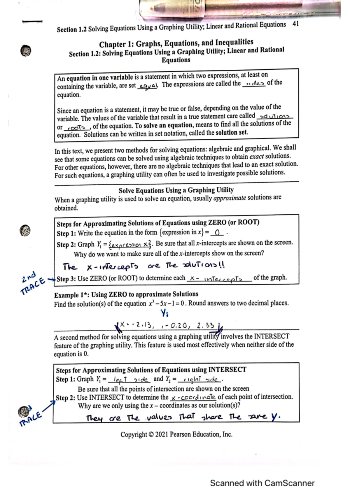
131wkst18w23 2 Math Math 131 Worksheet 18 Midterm 2 Review 2/21
Math 143 at Oakton Community College, Fall 2020, the Graphical Approach
Oakton Community College will launch a yearlong celebration of its 50th
Math 131 College Algebra 1 MATH 131 Studocu
Photo courtesy of Oakton College Archives The Daily Northwestern
2024 News and Events I Oakton College
(DOCX) OAKTON COMMUNITY COLLEGE · Web viewB. Recognize logical
Math Course Map Oakton High School
Math 250 * Calculus I Oakton Community College
Oakton College Locations & Campus Maps
Matrices in Mathematica for Finite Math Students at Oakton Community
Oakton College Locations & Campus Maps
Oakton Community College TargetX
Oakton College Locations & Campus Maps
MAT 131 at OAKTON Free Study Help
Math 250 * Calculus I Oakton Community College
Math 131 College Algebra ( Graphs, Equat MATH 131 Studocu
Oakton Community College shortens name Evanston Now
Oakton Des Plaines Campus Map Map
Syllabus Oakton Community College
News
Oakton College Locations & Campus Maps
Oakton College Locations & Campus Maps
Math 250 * Calculus I Oakton Community College
Oakton Community College Lee Center Legat Architects
generic course syllabus Oakton Community College
Math 131 Section 1.7 MATH 131 Studocu
generic course syllabus Oakton Community College
Related Post:






























