Mth 251 Oregon State University Course Catalog
Mth 251 Oregon State University Course Catalog - 26 In this capacity, the printable chart acts as a powerful communication device, creating a single source of truth that keeps the entire family organized and connected. A high-contrast scene with stark blacks and brilliant whites communicates drama and intensity, while a low-contrast scene dominated by middle grays evokes a feeling of softness, fog, or tranquility. Pull slowly and at a low angle, maintaining a constant tension. These initial adjustments are the bedrock of safe driving and should be performed every time you get behind the wheel. It felt like cheating, like using a stencil to paint, a colouring book instead of a blank canvas. Nature has already solved some of the most complex design problems we face. This is not the place for shortcuts or carelessness. There was the bar chart, the line chart, and the pie chart. It can give you a website theme, but it cannot define the user journey or the content strategy. They established the publication's core DNA. The driver is always responsible for the safe operation of the vehicle. A perfectly balanced kitchen knife, a responsive software tool, or an intuitive car dashboard all work by anticipating the user's intent and providing clear, immediate feedback, creating a state of effortless flow where the interface between person and object seems to dissolve. Its power stems from its ability to complement our cognitive abilities, providing an external scaffold for our limited working memory and leveraging our powerful visual intuition. The world is saturated with data, an ever-expanding ocean of numbers. The catalog's demand for our attention is a hidden tax on our mental peace. The rise of broadband internet allowed for high-resolution photography, which became the new standard. Once a story or an insight has been discovered through this exploratory process, the designer's role shifts from analyst to storyteller. The images were small, pixelated squares that took an eternity to load, line by agonizing line. The goal of testing is not to have users validate how brilliant your design is. Understanding how forms occupy space will allow you to create more realistic drawings. Adherence to the procedures outlined in this guide is critical for ensuring the safe and efficient operation of the lathe, as well as for maintaining its operational integrity and longevity. These are the costs that economists call "externalities," and they are the ghosts in our economic machine. Flanking the speedometer are the tachometer, which indicates the engine's revolutions per minute (RPM), and the fuel gauge, which shows the amount of fuel remaining in the tank. The constraints within it—a limited budget, a tight deadline, a specific set of brand colors—are not obstacles to be lamented. Every printable chart, therefore, leverages this innate cognitive bias, turning a simple schedule or data set into a powerful memory aid that "sticks" in our long-term memory with far greater tenacity than a simple to-do list. It was a world of comforting simplicity, where value was a number you could read, and cost was the amount of money you had to pay. This one is also a screenshot, but it is not of a static page that everyone would have seen. And it is an act of empathy for the audience, ensuring that their experience with a brand, no matter where they encounter it, is coherent, predictable, and clear. I wanted to make things for the future, not study things from the past. Exploring Different Styles and Techniques Selecting the appropriate tools can significantly impact your drawing experience. 41 Each of these personal development charts serves the same fundamental purpose: to bring structure, clarity, and intentionality to the often-messy process of self-improvement. 26 For both children and adults, being able to accurately identify and name an emotion is the critical first step toward managing it effectively. In this context, the value chart is a tool of pure perception, a disciplined method for seeing the world as it truly appears to the eye and translating that perception into a compelling and believable image. It is a sample of a new kind of reality, a personalized world where the information we see is no longer a shared landscape but a private reflection of our own data trail. A printable chart can become the hub for all household information. If a tab breaks, you may need to gently pry the battery up using a plastic card, being extremely careful not to bend or puncture the battery cell. They arrived with a specific intent, a query in their mind, and the search bar was their weapon. Your Aeris Endeavour is equipped with a suite of advanced safety features and driver-assistance systems designed to protect you and your passengers. The walls between different parts of our digital lives have become porous, and the catalog is an active participant in this vast, interconnected web of data tracking. I had to determine its minimum size, the smallest it could be reproduced in print or on screen before it became an illegible smudge. " is not a helpful tip from a store clerk; it's the output of a powerful algorithm analyzing millions of data points. I had to determine its minimum size, the smallest it could be reproduced in print or on screen before it became an illegible smudge. Our visual system is a powerful pattern-matching machine. It gave me ideas about incorporating texture, asymmetry, and a sense of humanity into my work. The page is stark, minimalist, and ordered by an uncompromising underlying grid. By understanding the unique advantages of each medium, one can create a balanced system where the printable chart serves as the interface for focused, individual work, while digital tools handle the demands of connectivity and collaboration. Many knitters also choose to support ethical and sustainable yarn producers, further aligning their craft with their values. This artistic exploration challenges the boundaries of what a chart can be, reminding us that the visual representation of data can engage not only our intellect, but also our emotions and our sense of wonder. A low or contaminated fluid level is a common cause of performance degradation. There is the immense and often invisible cost of logistics, the intricate dance of the global supply chain that brings the product from the factory to a warehouse and finally to your door. They are fundamental aspects of professional practice. This visual power is a critical weapon against a phenomenon known as the Ebbinghaus Forgetting Curve. "—and the algorithm decides which of these modules to show you, in what order, and with what specific content. The final posters were, to my surprise, the strongest work I had ever produced. The most fertile ground for new concepts is often found at the intersection of different disciplines. I saw a carefully constructed system for creating clarity. Whether using cross-hatching, stippling, or blending techniques, artists harness the power of contrast to evoke mood, drama, and visual interest in their artworks. Then, they can market new products directly to their audience. Below, a simple line chart plots the plummeting temperatures, linking the horrifying loss of life directly to the brutal cold. The choices designers make have profound social, cultural, and environmental consequences. The rise of artificial intelligence is also changing the landscape. Then came typography, which I quickly learned is the subtle but powerful workhorse of brand identity. Leading Lines: Use lines to direct the viewer's eye through the drawing. A good chart idea can clarify complexity, reveal hidden truths, persuade the skeptical, and inspire action. Release the locking lever on the side of the steering column to move the wheel up, down, toward, or away from you. It is a network of intersecting horizontal and vertical lines that governs the placement and alignment of every single element, from a headline to a photograph to the tiniest caption. The modern, professional approach is to start with the user's problem. This system fundamentally shifted the balance of power. A themed banner can be printed and assembled at home. I had to determine its minimum size, the smallest it could be reproduced in print or on screen before it became an illegible smudge. If for some reason the search does not yield a result, double-check that you have entered the model number correctly. This is the scaffolding of the profession. It’s crucial to read and understand these licenses to ensure compliance. It is the universal human impulse to impose order on chaos, to give form to intention, and to bridge the vast chasm between a thought and a tangible reality. Ensure the vehicle is parked on a level surface, turn the engine off, and wait several minutes. It was the catalog dematerialized, and in the process, it seemed to have lost its soul. A person who has experienced a profound betrayal might develop a ghost template of mistrust, causing them to perceive potential threats in the benign actions of new friends or partners. Disconnect the hydraulic lines to the chuck actuator and cap them immediately to prevent contamination.251s21q1 This was Quiz 1 Math 251 Unit 1 Quiz S21 Due 9PM, Tues
Derivative Fall' 21 Online Class Section 400 Amanda Blaisdell MTH
Math 251.1001 Syllabus Fall 2022 Math 251 Discrete Mathematics I
SOLUTION Mth 251 mechanics 1 Studypool
Mth 256 online Final Exam Review Mth 256 Final Exam (Lessons 125
OSU CS 225/ MTH 231discrete structures in computer science elements of
Mathematics Degree DOC Physics Science
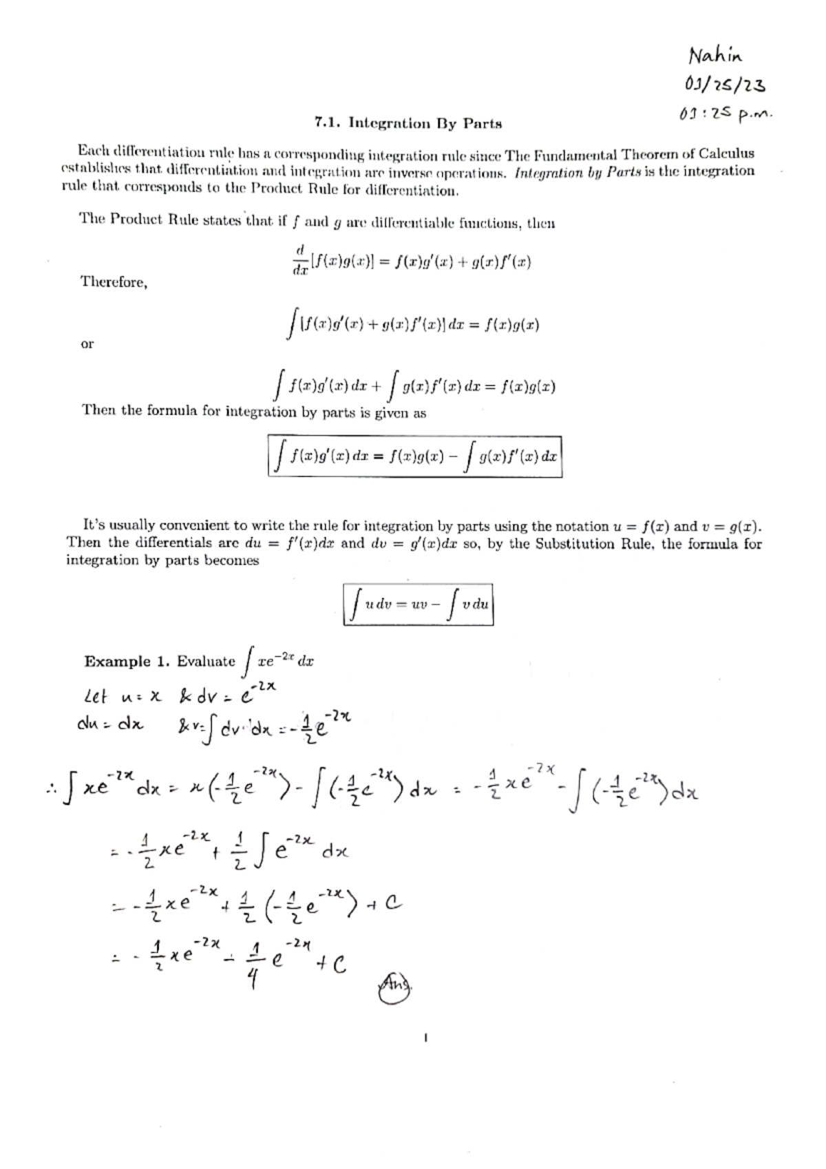
Integration by Parts MTH 251 Studocu
Integration Revision 1 MTH 251 Studocu
University Courses Catalog Template, Print Templates GraphicRiver
Math 251 Detailed problems, theorems and definitions reviewed in
Math 251 Syllabus
Trigonometric Integrals MTH 251 Studocu
Math 251 Final Exam Review 1 CCBC MATH 251 Final Exam Review
Math 25101 (Multivariable Calculus) Fall Semester 2016 PDF
Music, Theatre, and Dance Kansas State University Modern Campus
Section 2.1 Completed Handout MATH 251 Studocu
MTH 251 WHW3 Winter 23 homework Math 251 Written Homework 3 W23
Mathematics 251
Mathematics Degree DOC Physics Science
MATH 251 REVIEW EXAM 3 CONCEPTS TO KNOW
MTH 251Z Ecatalog Course Detail Schedule of Classes Oregon State
Set Topology MTH 251 Lecture 13 Lecture Plan
MAT251 19 These practice questions are used to help students
Mth251 Exam2 Solutions Fall2018 MTH 251 Studocu
ProgramofStudyrevised2 Republic of the Philippines BATANGAS STATE
PPT MTH 251/252/253 Calculus PowerPoint Presentation, free download
Oregon State University
MAT251 10 These practice questions are used to help students
PPT Introduction to Set Topology MTH 251 Course by Dr. Moizud Din
Trigonometric Substitution MTH 251 Studocu
Course Outline Math 251 Winter It is strongly you keep a
Course webpage for Math 251 Statistical and Machine Learning Classification
Training Catalog Template
Related Post:
















