Math 103 Course Description Catalog Kapiolani
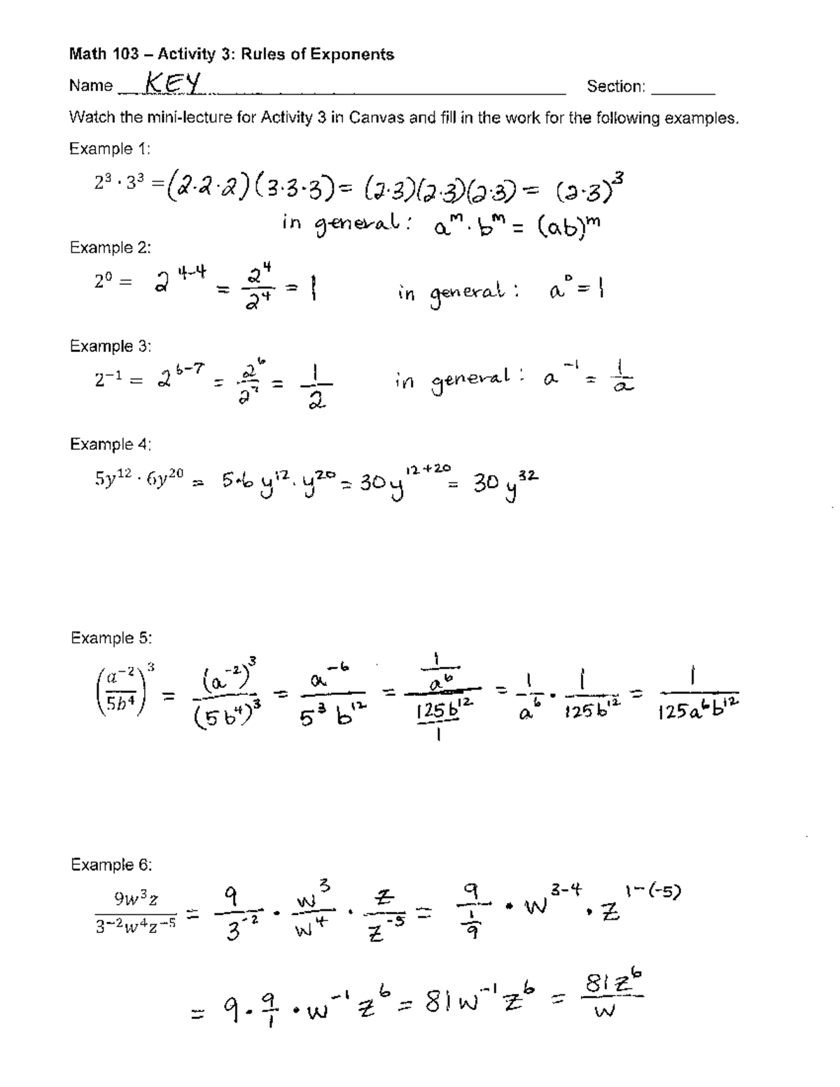
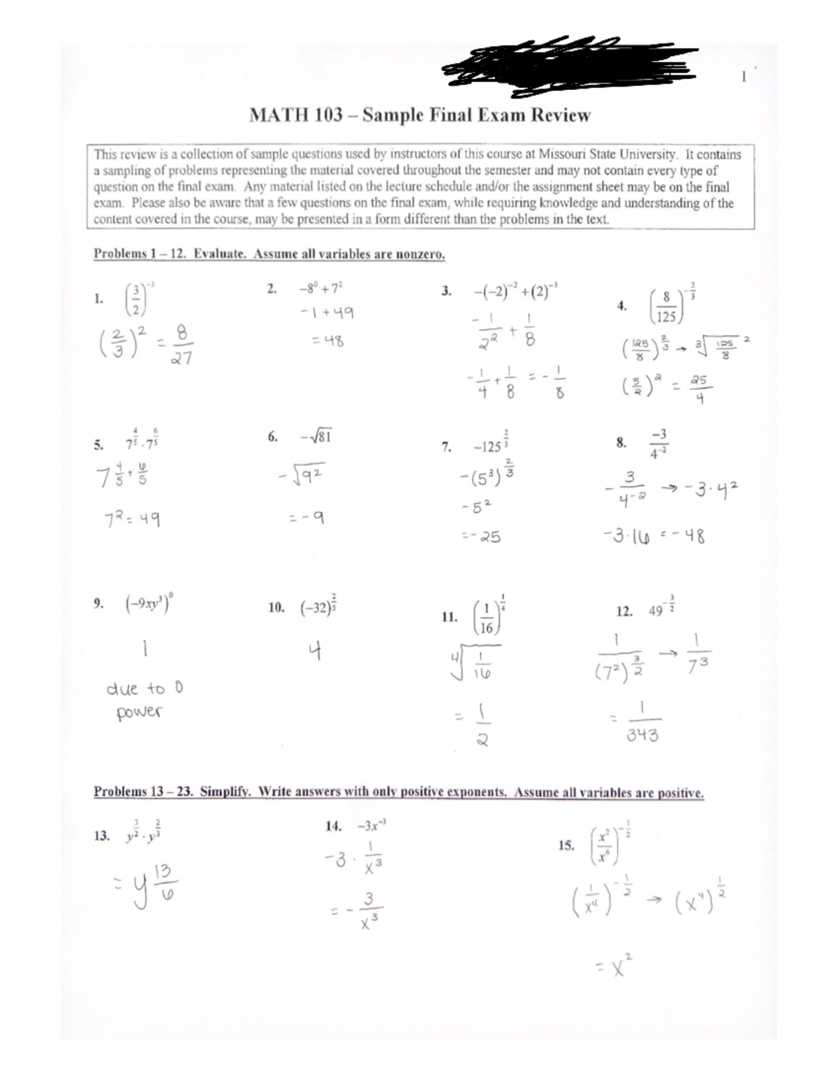
Math 103 Course Description Catalog Kapiolani - It is the story of our relationship with objects, and our use of them to construct our identities and shape our lives. By externalizing health-related data onto a physical chart, individuals are empowered to take a proactive and structured approach to their well-being. Yet, their apparent objectivity belies the critical human judgments required to create them—the selection of what to measure, the methods of measurement, and the design of their presentation. What Tufte articulated as principles of graphical elegance are, in essence, practical applications of cognitive psychology. Learning about the Bauhaus and their mission to unite art and industry gave me a framework for thinking about how to create systems, not just one-off objects. A professional understands that their responsibility doesn’t end when the creative part is done. It’s a human document at its core, an agreement between a team of people to uphold a certain standard of quality and to work together towards a shared vision. In an age where our information is often stored in remote clouds and accessed through glowing screens, the printable offers a comforting and empowering alternative. The legendary presentations of Hans Rosling, using his Gapminder software, are a masterclass in this. 41 It also serves as a critical tool for strategic initiatives like succession planning and talent management, providing a clear overview of the hierarchy and potential career paths within the organization. To ignore it is to condemn yourself to endlessly reinventing the wheel. This style encourages imagination and creativity. Water and electricity are a dangerous combination, so it is crucial to ensure that the exterior of the planter and the area around the power adapter are always dry. The invention of knitting machines allowed for mass production of knitted goods, making them more accessible to the general population. A database, on the other hand, is a living, dynamic, and endlessly queryable system. It is a mirror reflecting our values, our priorities, and our aspirations. Use a wire brush to clean them thoroughly. It was a thick, spiral-bound book that I was immensely proud of. Proportions: Accurate proportions ensure that the elements of your drawing are in harmony. These small details make an event feel well-planned. This demand for absolute precision is equally, if not more, critical in the field of medicine. 1 Beyond chores, a centralized family schedule chart can bring order to the often-chaotic logistics of modern family life. The electronic parking brake is operated by a switch on the center console. My earliest understanding of the world of things was built upon this number. For students, a well-structured study schedule chart is a critical tool for success, helping them to manage their time effectively, break down daunting subjects into manageable blocks, and prioritize their workload. For any issues that cannot be resolved with these simple troubleshooting steps, our dedicated customer support team is available to assist you. A printable habit tracker offers a visually satisfying way to build new routines, while a printable budget template provides a clear framework for managing personal finances. The instrument panel of your Aeris Endeavour is your primary source of information about the vehicle's status and performance. 20 This aligns perfectly with established goal-setting theory, which posits that goals are most motivating when they are clear, specific, and trackable. The beauty of this catalog sample is not aesthetic in the traditional sense. The ChronoMark, while operating at a low voltage, contains a high-density lithium-polymer battery that can pose a significant fire or chemical burn hazard if mishandled, punctured, or short-circuited. This object, born of necessity, was not merely found; it was conceived. 21 The primary strategic value of this chart lies in its ability to make complex workflows transparent and analyzable, revealing bottlenecks, redundancies, and non-value-added steps that are often obscured in text-based descriptions. This was a huge shift for me. I began seeking out and studying the great brand manuals of the past, seeing them not as boring corporate documents but as historical artifacts and masterclasses in systematic thinking. The website we see, the grid of products, is not the catalog itself; it is merely one possible view of the information stored within that database, a temporary manifestation generated in response to a user's request. His concept of "sparklines"—small, intense, word-sized graphics that can be embedded directly into a line of text—was a mind-bending idea that challenged the very notion of a chart as a large, separate illustration. Nonprofit organizations and community groups leverage templates to streamline their operations and outreach efforts. The catalog is no longer a static map of a store's inventory; it has become a dynamic, intelligent, and deeply personal mirror, reflecting your own past behavior back at you. The people who will use your product, visit your website, or see your advertisement have different backgrounds, different technical skills, different motivations, and different contexts of use than you do. The responsibility is always on the designer to make things clear, intuitive, and respectful of the user’s cognitive and emotional state. " To fulfill this request, the system must access and synthesize all the structured data of the catalog—brand, color, style, price, user ratings—and present a handful of curated options in a natural, conversational way. Why that typeface? It's not because I find it aesthetically pleasing, but because its x-height and clear letterforms ensure legibility for an older audience on a mobile screen. This brings us to the future, a future where the very concept of the online catalog is likely to transform once again. "Do not stretch or distort. The experience was tactile; the smell of the ink, the feel of the coated paper, the deliberate act of folding a corner or circling an item with a pen. In education, crochet is being embraced as a valuable skill that can teach patience, creativity, and problem-solving. Mastering Shading and Lighting In digital art and graphic design, software tools enable artists to experiment with patterns in ways that were previously unimaginable. 76 The primary goal of good chart design is to minimize this extraneous load. She meticulously tracked mortality rates in the military hospitals and realized that far more soldiers were dying from preventable diseases like typhus and cholera than from their wounds in battle. The online catalog, in its early days, tried to replicate this with hierarchical menus and category pages. That imposing piece of wooden furniture, with its countless small drawers, was an intricate, three-dimensional database. 4 This significant increase in success is not magic; it is the result of specific cognitive processes that are activated when we physically write. If it detects a risk, it will provide a series of audible and visual warnings. Work your way slowly around the entire perimeter of the device, releasing the internal clips as you go. Despite its numerous benefits, many people encounter barriers to journaling, such as time constraints, fear of judgment, and difficulty getting started. 57 This thoughtful approach to chart design reduces the cognitive load on the audience, making the chart feel intuitive and effortless to understand. Welcome to the comprehensive guide for accessing the digital owner's manual for your product. By externalizing health-related data onto a physical chart, individuals are empowered to take a proactive and structured approach to their well-being. A truly effective comparison chart is, therefore, an honest one, built on a foundation of relevant criteria, accurate data, and a clear design that seeks to inform rather than persuade. For models equipped with power seats, the switches are located on the outboard side of the seat cushion. The persuasive, almost narrative copy was needed to overcome the natural skepticism of sending hard-earned money to a faceless company in a distant city. We see it in the monumental effort of the librarians at the ancient Library of Alexandria, who, under the guidance of Callimachus, created the *Pinakes*, a 120-volume catalog that listed and categorized the hundreds of thousands of scrolls in their collection. In reality, much of creativity involves working within, or cleverly subverting, established structures. The legal aspect of printables is also important. 23 This visual evidence of progress enhances commitment and focus. The "products" are movies and TV shows. I embrace them. Once your pods are in place, the planter’s wicking system will begin to draw water up to the seeds, initiating the germination process. He understood, with revolutionary clarity, that the slope of a line could instantly convey a rate of change and that the relative heights of bars could make quantitative comparisons immediately obvious to the eye. This is a divergent phase, where creativity, brainstorming, and "what if" scenarios are encouraged. John Snow’s famous map of the 1854 cholera outbreak in London was another pivotal moment. By varying the scale, orientation, and arrangement of elements, artists and designers can create complex patterns that captivate viewers. The digital age has not made the conversion chart obsolete; it has perfected its delivery, making its power universally and immediately available. This sample is a document of its technological constraints. Perhaps the most important process for me, however, has been learning to think with my hands. And sometimes it might be a hand-drawn postcard sent across the ocean. The work of creating a design manual is the quiet, behind-the-scenes work that makes all the other, more visible design work possible.Final EXAM Review Math 103 REVIEW Fall 2021 These problems are NOT
Math 103 Study Guide Equations, Inequalities, Polynomials
MATH 103 at MIRACOSTA Free Study Help
2019 MTH103 Course Outline Section 8 MATH 103 Winter 2019 Instructor
Math103outline Outline of course you can use to work faster Math
Math 103 Math 103 notes 10/13/23, 435 PM Math 103 csun/tf54692
Solution Homework 2 math 103 Department of Mathematics Dr. El
Math 103 Syllabus Spring 2016 PDF Trigonometric Functions
MATH 103(Syllabus............. KOÇ University, Department of
MATH 103 Study Guide Fall 2018, Final Mean Value Theorem, Maxima
Math 103 Integral Calculus 2nd Sem20212022 PDF Integral
2peer3 reviews good for exam MATH 103 Mini Project 2 Introduction
Math 103 PDF Area Integral
Math103 finals Examination Math 103 GENERAL MATHEMATICS FINAL
MATH 103 (Course Guide) PDF Trigonometry Mathematics
SyllabusMath 103 Intermediate Algebra
Math 103 ALL Concepts Summarized MATH 103 FINAL EXAM CONDENSED
1 Math103 Handout Course Review Part1 Math 103 Calculus IHandout 1
MATH 103 gfhgfhf MTH 103 Test2 Review Instructor Preeti Mohan
MAS 103 Course Description 1 MAS 103 Introduction to Probability
New Title Comprehensive Guide to Effective Study Strategies for Exams
MTH 103 Course Outline PDF
Math Course Sequence Santa Monica College
Project 1, solution reviews good for exam MATH 103 Mini Project
SOLUTION NU Math 103 Lecture Introduction to probability and
Calculus I MTH 103 Course Syllabus PDF Derivative Integral
Math 103 HW 1 Math 103 Exercise Math 103 College Mathematics
Math103finalstudyguide Math 103 Variables) Final Exam Study
Math 103 Applied Calculus I Course Outline University of Regina
Math 103 College Algebra Syllabus Summer 2011
MATH 103 Module 1 Statistics Introduction PDF Level Of
Math 103 syllabussummer 2020 Course Outline For MATH 103, College
Syllabus aaa University of British Columbia Math 103 Syllabus
Memo4( M103, 22231S) MEMO 4 for MATHS 103 Students Date October
Related Post:






