Los Angeles Community College 1999 Catalog
Los Angeles Community College 1999 Catalog - " Each rule wasn't an arbitrary command; it was a safeguard to protect the logo's integrity, to ensure that the symbol I had worked so hard to imbue with meaning wasn't diluted or destroyed by a well-intentioned but untrained marketing assistant down the line. You will need to install one, such as the free Adobe Acrobat Reader, before you can view the manual. 13 This mechanism effectively "gamifies" progress, creating a series of small, rewarding wins that reinforce desired behaviors, whether it's a child completing tasks on a chore chart or an executive tracking milestones on a project chart. 11 This dual encoding creates two separate retrieval pathways in our memory, effectively doubling the chances that we will be able to recall the information later. So my own relationship with the catalog template has completed a full circle. The model number is a specific alphanumeric code; please do not confuse it with the serial number, which is unique to your individual unit. New niches and product types will emerge. It is a professional instrument for clarifying complexity, a personal tool for building better habits, and a timeless method for turning abstract intentions into concrete reality. Each chart builds on the last, constructing a narrative piece by piece. It suggested that design could be about more than just efficient problem-solving; it could also be about cultural commentary, personal expression, and the joy of ambiguity. Up until that point, my design process, if I could even call it that, was a chaotic and intuitive dance with the blank page. By plotting the locations of cholera deaths on a map, he was able to see a clear cluster around a single water pump on Broad Street, proving that the disease was being spread through contaminated water, not through the air as was commonly believed. It stands as a testament to the idea that sometimes, the most profoundly effective solutions are the ones we can hold in our own hands. When you can do absolutely anything, the sheer number of possibilities is so overwhelming that it’s almost impossible to make a decision. It starts with low-fidelity sketches on paper, not with pixel-perfect mockups in software. A comprehensive kitchen conversion chart is a dense web of interconnected equivalencies that a cook might consult multiple times while preparing a single dish. They make it easier to have ideas about how an entire system should behave, rather than just how one screen should look. To hold this sample is to feel the cool, confident optimism of the post-war era, a time when it seemed possible to redesign the entire world along more rational and beautiful lines. This is a divergent phase, where creativity, brainstorming, and "what if" scenarios are encouraged. The remarkable efficacy of a printable chart begins with a core principle of human cognition known as the Picture Superiority Effect. Apply the brakes gently several times to begin the "bedding-in" process, which helps the new pad material transfer a thin layer onto the rotor for optimal performance. Without the distraction of color, viewers are invited to focus on the essence of the subject matter, whether it's a portrait, landscape, or still life. A powerful explanatory chart often starts with a clear, declarative title that states the main takeaway, rather than a generic, descriptive title like "Sales Over Time. 34 The process of creating and maintaining this chart forces an individual to confront their spending habits and make conscious decisions about financial priorities. This ability to directly manipulate the representation gives the user a powerful sense of agency and can lead to personal, serendipitous discoveries. Without it, even the most brilliant creative ideas will crumble under the weight of real-world logistics. The Egyptians employed motifs such as the lotus flower, which symbolized rebirth, and the ankh, representing life. Adjust the seat forward or backward so that you can fully depress the pedals with a slight bend in your knees. It tells you about the history of the seed, where it came from, who has been growing it for generations. You can find printable coloring books on virtually any theme. These are the subjects of our inquiry—the candidates, the products, the strategies, the theories. This system is the single source of truth for an entire product team. " While we might think that more choice is always better, research shows that an overabundance of options can lead to decision paralysis, anxiety, and, even when a choice is made, a lower level of satisfaction because of the nagging fear that a better option might have been missed. Creating a good template is a far more complex and challenging design task than creating a single, beautiful layout. A good brief, with its set of problems and boundaries, is the starting point for all great design ideas. The primary material for a growing number of designers is no longer wood, metal, or paper, but pixels and code. As we look to the future, it is clear that knitting will continue to inspire and bring joy to those who practice it. A separate Warranty Information & Maintenance Log booklet provides you with details about the warranties covering your vehicle and the specific maintenance required to keep it in optimal condition. The printable template is the key that unlocks this fluid and effective cycle. It recognized that most people do not have the spatial imagination to see how a single object will fit into their lives; they need to be shown. The servo drives and the main spindle drive are equipped with their own diagnostic LEDs; familiarize yourself with the error codes detailed in the drive's specific manual, which is supplied as a supplement to this document. A template can give you a beautiful layout, but it cannot tell you what your brand's core message should be. 30 The very act of focusing on the chart—selecting the right word or image—can be a form of "meditation in motion," distracting from the source of stress and engaging the calming part of the nervous system. A company that proudly charts "Teamwork" as a core value but only rewards individual top performers creates a cognitive dissonance that undermines the very culture it claims to want. The bulk of the design work is not in having the idea, but in developing it. This chart might not take the form of a grayscale; it could be a pyramid, with foundational, non-negotiable values like "health" or "honesty" at the base, supporting secondary values like "career success" or "creativity," which in turn support more specific life goals at the apex. This is the art of data storytelling. Bringing Your Chart to Life: Tools and Printing TipsCreating your own custom printable chart has never been more accessible, thanks to a variety of powerful and user-friendly online tools. The template is a servant to the message, not the other way around. The faint, sweet smell of the aging paper and ink is a form of time travel. There are actual techniques and methods, which was a revelation to me. 59 A Gantt chart provides a comprehensive visual overview of a project's entire lifecycle, clearly showing task dependencies, critical milestones, and overall progress, making it essential for managing scope, resources, and deadlines. This democratizes access to professional-quality tools and resources. It’s unprofessional and irresponsible. The overhead costs are extremely low compared to a physical product business. It is a pre-existing structure that we use to organize and make sense of the world. A print catalog is a static, finite, and immutable object. We are not purely rational beings. The soaring ceilings of a cathedral are designed to inspire awe and draw the eye heavenward, communicating a sense of the divine. The app will automatically detect your Aura Smart Planter and prompt you to establish a connection. Comparing cars on the basis of their top speed might be relevant for a sports car enthusiast but largely irrelevant for a city-dweller choosing a family vehicle, for whom safety ratings and fuel efficiency would be far more important. It is a sample that reveals the profound shift from a one-to-many model of communication to a one-to-one model. Consider the challenge faced by a freelancer or small business owner who needs to create a professional invoice. The catalog, by its very nature, is a powerful tool for focusing our attention on the world of material goods. This resurgence in popularity has also spurred a demand for high-quality, artisan yarns and bespoke crochet pieces, supporting small businesses and independent makers. In the event of a discharged 12-volt battery, you may need to jump-start the vehicle. It is both an art and a science, requiring a delicate balance of intuition and analysis, creativity and rigor, empathy and technical skill. The dawn of the digital age has sparked a new revolution in the world of charting, transforming it from a static medium into a dynamic and interactive one. However, the chart as we understand it today in a statistical sense—a tool for visualizing quantitative, non-spatial data—is a much more recent innovation, a product of the Enlightenment's fervor for reason, measurement, and empirical analysis. The organizational chart, or "org chart," is a cornerstone of business strategy. The other eighty percent was defining its behavior in the real world—the part that goes into the manual. 19 A printable reward chart capitalizes on this by making the path to the reward visible and tangible, building anticipation with each completed step. Visual Learning and Memory Retention: Your Brain on a ChartOur brains are inherently visual machines. The concept has leaped from the two-dimensional plane of paper into the three-dimensional world of physical objects. A designer can use the components in their design file, and a developer can use the exact same components in their code. It is a discipline that operates at every scale of human experience, from the intimate ergonomics of a toothbrush handle to the complex systems of a global logistics network. This manual is your comprehensive guide to understanding, operating, and cherishing your new Aura Smart Planter. It is a set of benevolent constraints, a scaffold that provides support during the messy process of creation and then recedes into the background, allowing the final, unique product to stand on its own.Los Angeles City College Full Episode The College Tour YouTube
Los Angeles Community College District Physical Sciences Student
Los Angeles Community College District ends security contract with
Document 12091328
Official Logo LACC
OUR HISTORY
Community Colleges Have Lost A Lot Of Students During The Pandemic
1,741 Los Angeles Community College Stock Photos, HighRes Pictures
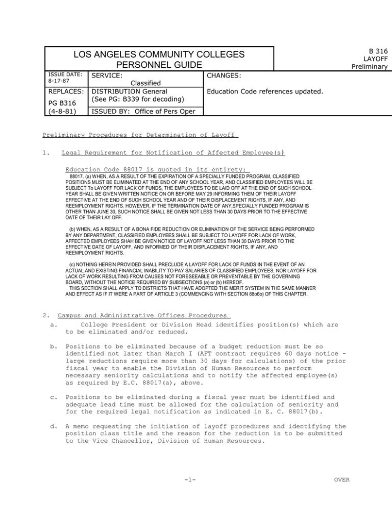
LOS ANGELES COMMUNITY COLLEGES PERSONNEL GUIDE
SEIU Local 99 COVID19 Guide for Members at Los Angeles Community
Center for a Competitive Workforce Los Angeles County Economic
Article II Los Angeles Community College District
Los Angeles Community College District Gafcon
Document 12091331
Our Colleges LACCD
Los Angeles Community College District Build LACCD
Work Franklin and Jefferson Halls
LACCD Utilities Assessment C&S Companies
Los Angeles State College
Document 12091327
Los Angeles Community College District Vanir
Document 12091330
LA City College Student Union Our Projects (SJ Amoroso Construction
Los Angeles Pierce College General Catalog LAPC
LA Community College District Credly
Resources BuildLACCD
Los Angeles Community College District Gafcon
Los Angeles City College [Wikipedia] Los Angeles City Col… Flickr
Los Angeles Community College District (LACCD) / BuildLACCD / Program
Los Angeles Community College District Report on Audited Basic
Los Angeles Community College District elections Everything you need
LA Community College District gives students 1,000 to provide
Bullying and Retaliation Working Nurse
Top 10 Community Colleges in Los Angeles 20152016
Related Post:


























![Los Angeles City College [Wikipedia] Los Angeles City Col… Flickr](https://c2.staticflickr.com/6/5120/6947626226_1d3eb2a17e_b.jpg)





