Florida International University Course Catalog
Florida International University Course Catalog - A single smartphone is a node in a global network that touches upon geology, chemistry, engineering, economics, politics, sociology, and environmental science. The chart is a quiet and ubiquitous object, so deeply woven into the fabric of our modern lives that it has become almost invisible. The template is a servant to the message, not the other way around. Vacuum the carpets and upholstery to remove dirt and debris. Common unethical practices include manipulating the scale of an axis (such as starting a vertical axis at a value other than zero) to exaggerate differences, cherry-picking data points to support a desired narrative, or using inappropriate chart types that obscure the true meaning of the data. Learning to ask clarifying questions, to not take things personally, and to see every critique as a collaborative effort to improve the work is an essential, if painful, skill to acquire. The question is always: what is the nature of the data, and what is the story I am trying to tell? If I want to show the hierarchical structure of a company's budget, breaking down spending from large departments into smaller and smaller line items, a simple bar chart is useless. It’s unprofessional and irresponsible. The chart becomes a trusted, impartial authority, a source of truth that guarantees consistency and accuracy. The blank canvas still holds its allure, but I now understand that true, professional creativity isn't about starting from scratch every time. This is the semiotics of the material world, a constant stream of non-verbal cues that we interpret, mostly subconsciously, every moment of our lives. I’m learning that being a brilliant creative is not enough if you can’t manage your time, present your work clearly, or collaborate effectively with a team of developers, marketers, and project managers. This is where the ego has to take a backseat. It is not a public document; it is a private one, a page that was algorithmically generated just for me. Visual Learning and Memory Retention: Your Brain on a ChartOur brains are inherently visual machines. AI can help us find patterns in massive datasets that a human analyst might never discover. By recommending a small selection of their "favorite things," they act as trusted guides for their followers, creating a mini-catalog that cuts through the noise of the larger platform. For comparing change over time, a simple line chart is often the right tool, but for a specific kind of change story, there are more powerful ideas. It is the beauty of pure function, of absolute clarity, of a system so well-organized that it allows an expert user to locate one specific item out of a million possibilities with astonishing speed and confidence. Kitchen organization printables include meal planners and recipe cards. Writing about one’s thoughts and feelings can be a powerful form of emotional release, helping individuals process and make sense of their experiences. The culinary arts provide the most relatable and vivid example of this. 27 This process connects directly back to the psychology of motivation, creating a system of positive self-reinforcement that makes you more likely to stick with your new routine. As I began to reluctantly embrace the template for my class project, I decided to deconstruct it, to take it apart and understand its anatomy, not just as a layout but as a system of thinking. Reading this manual in its entirety will empower you with the knowledge to enjoy many years of safe and pleasurable driving. Blind Spot Warning helps you see in those hard-to-see places. It was a visual argument, a chaotic shouting match. It requires a commitment to intellectual honesty, a promise to represent the data in a way that is faithful to its underlying patterns, not in a way that serves a pre-determined agenda. The world of these tangible, paper-based samples, with all their nuance and specificity, was irrevocably altered by the arrival of the internet. The hands-free liftgate is particularly useful when your arms are full. It felt like being asked to cook a gourmet meal with only salt, water, and a potato. They were a call to action. This technological consistency is the bedrock upon which the entire free printable ecosystem is built, guaranteeing a reliable transition from pixel to paper. Finding ways to overcome these blocks can help you maintain your creativity and continue producing work. The reaction was inevitable. The true power of the workout chart emerges through its consistent use over time. Graphics and illustrations will be high-resolution to ensure they print sharply and without pixelation. A 3D printable file, typically in a format like STL or OBJ, is a digital blueprint that contains the complete geometric data for a physical object. 34 The process of creating and maintaining this chart forces an individual to confront their spending habits and make conscious decisions about financial priorities. 27 This process connects directly back to the psychology of motivation, creating a system of positive self-reinforcement that makes you more likely to stick with your new routine. An error in this single conversion could lead to a dangerous underdose or a toxic overdose. Upon this grid, the designer places marks—these can be points, lines, bars, or other shapes. We don't have to consciously think about how to read the page; the template has done the work for us, allowing us to focus our mental energy on evaluating the content itself. Crochet is more than just a craft; it is a means of preserving cultural heritage and passing down traditions. Types of Online Templates For those who create printable images, protecting their work is equally important. A chart is, at its core, a technology designed to augment the human intellect. The website template, or theme, is essentially a set of instructions that tells the server how to retrieve the content from the database and arrange it on a page when a user requests it. Without this template, creating a well-fitting garment would be an impossibly difficult task of guesswork and approximation. He said, "An idea is just a new connection between old things. This internal blueprint can become particularly potent when forged by trauma. 41 It also serves as a critical tool for strategic initiatives like succession planning and talent management, providing a clear overview of the hierarchy and potential career paths within the organization. The simple, physical act of writing on a printable chart engages another powerful set of cognitive processes that amplify commitment and the likelihood of goal achievement. The persuasive, almost narrative copy was needed to overcome the natural skepticism of sending hard-earned money to a faceless company in a distant city. 5 When an individual views a chart, they engage both systems simultaneously; the brain processes the visual elements of the chart (the image code) while also processing the associated labels and concepts (the verbal code). Platforms like Adobe Express, Visme, and Miro offer free chart maker services that empower even non-designers to produce professional-quality visuals. This hamburger: three dollars, plus the degradation of two square meters of grazing land, plus the emission of one hundred kilograms of methane. That intelligence is embodied in one of the most powerful and foundational concepts in all of layout design: the grid. To start the hybrid system, ensure the shift lever is in the 'P' (Park) position and press the brake pedal firmly with your right foot. They were directly responsible for reforms that saved countless lives. Take note of how they were installed and where any retaining clips are positioned. My journey into understanding the template was, therefore, a journey into understanding the grid. The transformation is immediate and profound. The most recent and perhaps most radical evolution in this visual conversation is the advent of augmented reality. From a simple plastic bottle to a complex engine block, countless objects in our world owe their existence to this type of industrial template. In education, drawing is a valuable tool for fostering creativity, critical thinking, and problem-solving skills in students of all ages. These methods felt a bit mechanical and silly at first, but I've come to appreciate them as tools for deliberately breaking a creative block. Digital applications excel at tasks requiring collaboration, automated reminders, and the management of vast amounts of information, such as shared calendars or complex project management software. Imagine looking at your empty kitchen counter and having an AR system overlay different models of coffee machines, allowing you to see exactly how they would look in your space. For showing how the composition of a whole has changed over time—for example, the market share of different music formats from vinyl to streaming—a standard stacked bar chart can work, but a streamgraph, with its flowing, organic shapes, can often tell the story in a more beautiful and compelling way. Each of us carries a vast collection of these unseen blueprints, inherited from our upbringing, our culture, and our formative experiences. The seat backrest should be upright enough to provide full support for your back. The work of creating a design manual is the quiet, behind-the-scenes work that makes all the other, more visible design work possible. To adjust it, push down the lock lever located under the steering column, move the wheel to the desired position, and then pull the lever back up firmly to lock it in place. The modernist maxim, "form follows function," became a powerful mantra for a generation of designers seeking to strip away the ornate and unnecessary baggage of historical styles. The journey to achieving any goal, whether personal or professional, is a process of turning intention into action. The idea of a chart, therefore, must be intrinsically linked to an idea of ethical responsibility. The work of creating a design manual is the quiet, behind-the-scenes work that makes all the other, more visible design work possible. The utility of a family chart extends far beyond just chores. A budget chart can be designed with columns for fixed expenses, such as rent and insurance, and variable expenses, like groceries and entertainment, allowing for a comprehensive overview of where money is allocated each month. It typically begins with a phase of research and discovery, where the designer immerses themselves in the problem space, seeking to understand the context, the constraints, and, most importantly, the people involved.Florida International University
University Spotlight Florida International University Slamstox
ApplyBoard
Florida State University Fees, Courses & Admissions Manya
Florida International University
Florida International University Course Catalog Doc Template pdfFiller
Program Spotlight Florida International University Herbert Werthelm
Florida International University Courses and Fees 2025
Флоридський міжнародний університет ᐈ Florida International University
Florida International University
Degree Programs Florida International University Department of
Course Syllabus Florida International University
florida international university
Florida International University Diploma Graduate Catalog (Florida
Florida International University in Miami, FL
YES Intercâmbio Aconselhamento acadêmico Estude no exterior
Florida International University State University System of Florida
Florida International University ELI
Florida International University50 for 50 Celebrating a halfcentury
Frequently Asked Questions Admissions Florida International University
Student Academic Grievances FIU Division of Student Affairs
Florida International University 가이드북
FIU Mechanical Engineering Catalog Change Proposal
Florida International University HS Consultants
Syllabus Florida International University
B.S in Mechanical Engineering at Florida International University
On Campus Life Below Water College of Arts, Sciences & Education
Appointments FIU Division of Student Affairs
DIBS! FIU at I75 Florida International University
Course Catalogs From Global University, Distance Learning
Estados Unidos Florida International University COLFUTURO
Du học tại Florida International University
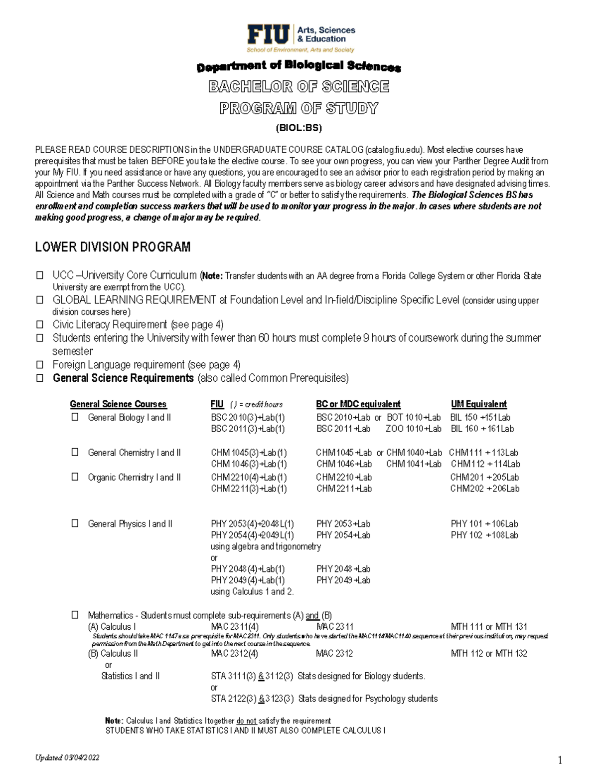
2022biologicalsciencesbsprogram of study Updated 03/04/2022 1
Florida International University UniStudy USA
Florida International University EXCELLENCE ELEVATED by FIU Issuu
Related Post:

































