Fermi Large Area Telescope Third Source Catalog
Fermi Large Area Telescope Third Source Catalog - But it is never a direct perception; it is always a constructed one, a carefully curated representation whose effectiveness and honesty depend entirely on the skill and integrity of its creator. There is a template for the homepage, a template for a standard content page, a template for the contact page, and, crucially for an online catalog, templates for the product listing page and the product detail page. Instead of struggling with layout, formatting, and ensuring all necessary legal and financial fields are included, they can download a printable invoice template. It allows for seamless smartphone integration via Apple CarPlay or Android Auto, giving you access to your favorite apps, music, and messaging services. This data can also be used for active manipulation. This phase of prototyping and testing is crucial, as it is where assumptions are challenged and flaws are revealed. Carefully hinge the screen open from the left side, like a book, to expose the internal components. The modern online catalog is often a gateway to services that are presented as "free. Anscombe’s Quartet is the most powerful and elegant argument ever made for the necessity of charting your data. A person who has experienced a profound betrayal might develop a ghost template of mistrust, causing them to perceive potential threats in the benign actions of new friends or partners. It wasn't until a particularly chaotic group project in my second year that the first crack appeared in this naive worldview. Creativity is stifled when the template is treated as a rigid set of rules to be obeyed rather than a flexible framework to be adapted, challenged, or even broken when necessary. This makes them a potent weapon for those who wish to mislead. The animation transformed a complex dataset into a breathtaking and emotional story of global development. The catalog's demand for our attention is a hidden tax on our mental peace. For times when you're truly stuck, there are more formulaic approaches, like the SCAMPER method. But it was the Swiss Style of the mid-20th century that truly elevated the grid to a philosophical principle. The power of this structure is its relentless consistency. A design system in the digital world is like a set of Lego bricks—a collection of predefined buttons, forms, typography styles, and grid layouts that can be combined to build any number of new pages or features quickly and consistently. Yet, when complexity mounts and the number of variables exceeds the grasp of our intuition, we require a more structured approach. A well-designed printable file is a self-contained set of instructions, ensuring that the final printed output is a faithful and useful representation of the original digital design. However, there are a number of simple yet important checks that you can, and should, perform on a regular basis. Data, after all, is not just a collection of abstract numbers. You are prompted to review your progress more consciously and to prioritize what is truly important, as you cannot simply drag and drop an endless list of tasks from one day to the next. Water and electricity are a dangerous combination, so it is crucial to ensure that the exterior of the planter and the area around the power adapter are always dry. 13 Finally, the act of physically marking progress—checking a box, adding a sticker, coloring in a square—adds a third layer, creating a more potent and tangible dopamine feedback loop. They give you a problem to push against, a puzzle to solve. 67 For a printable chart specifically, there are practical considerations as well. The template is no longer a static blueprint created by a human designer; it has become an intelligent, predictive agent, constantly reconfiguring itself in response to your data. In music, the 12-bar blues progression is one of the most famous and enduring templates in history. 20 This aligns perfectly with established goal-setting theory, which posits that goals are most motivating when they are clear, specific, and trackable. A printable sewing pattern can be downloaded, printed on multiple sheets, and taped together to create a full-size guide for cutting fabric. Standing up and presenting your half-formed, vulnerable work to a room of your peers and professors is terrifying. Presentation templates help in crafting compelling pitches and reports, ensuring that all visual materials are on-brand and polished. Another fundamental economic concept that a true cost catalog would have to grapple with is that of opportunity cost. A digital multimeter is a critical diagnostic tool for testing continuity, voltages, and resistance to identify faulty circuits. Adobe Illustrator is a professional tool for vector graphics. "Alexa, find me a warm, casual, blue sweater that's under fifty dollars and has good reviews. If it detects a loss of control or a skid, it can reduce engine power and apply braking to individual wheels to help you stay on your intended path. We are constantly working to improve our products and services, and we welcome your feedback. My problem wasn't that I was incapable of generating ideas; my problem was that my well was dry. The pressure in those first few months was immense. Suddenly, the catalog could be interrogated. I am a framer, a curator, and an arguer. For any student of drawing or painting, this is one of the first and most fundamental exercises they undertake. For instance, the repetitive and orderly nature of geometric patterns can induce a sense of calm and relaxation, making them suitable for spaces designed for rest and contemplation. Parents can design a beautiful nursery on a modest budget. The door’s form communicates the wrong function, causing a moment of frustration and making the user feel foolish. The printable template is the key that unlocks this fluid and effective cycle. In the corporate world, the organizational chart maps the structure of a company, defining roles, responsibilities, and the flow of authority. A primary consideration is resolution. The exterior of the planter and the LED light hood can be wiped down with a soft, damp cloth. Whether working with graphite, charcoal, ink, or digital tools, artists have a wealth of options at their disposal for creating compelling black and white artworks. This is the ultimate evolution of the template, from a rigid grid on a printed page to a fluid, personalized, and invisible system that shapes our digital lives in ways we are only just beginning to understand. 67In conclusion, the printable chart stands as a testament to the enduring power of tangible, visual tools in a world saturated with digital ephemera. The price of a cheap airline ticket does not include the cost of the carbon emissions pumped into the atmosphere, a cost that will be paid in the form of climate change, rising sea levels, and extreme weather events for centuries to come. 59 A Gantt chart provides a comprehensive visual overview of a project's entire lifecycle, clearly showing task dependencies, critical milestones, and overall progress, making it essential for managing scope, resources, and deadlines. The critique session, or "crit," is a cornerstone of design education, and for good reason. 52 This type of chart integrates not only study times but also assignment due dates, exam schedules, extracurricular activities, and personal appointments. The design of an urban infrastructure can either perpetuate or alleviate social inequality. The true power of the workout chart emerges through its consistent use over time. The second, and more obvious, cost is privacy. The world of art and literature is also profoundly shaped by the influence of the creative ghost template. A more expensive coat was a warmer coat. This redefinition of the printable democratizes not just information, but the very act of creation and manufacturing. It made me see that even a simple door can be a design failure if it makes the user feel stupid. 71 This eliminates the technical barriers to creating a beautiful and effective chart. Innovations in materials and technology are opening up new possibilities for the craft. In this format, the items being compared are typically listed down the first column, creating the rows of the table. During the warranty period, we will repair or replace, at our discretion, any defective component of your planter at no charge. 30 Even a simple water tracker chart can encourage proper hydration. The utility of a printable chart in wellness is not limited to exercise. Indian textiles, particularly those produced in regions like Rajasthan and Gujarat, are renowned for their vibrant patterns and rich symbolism. Each of these charts serves a specific cognitive purpose, designed to reduce complexity and provide a clear framework for action or understanding. It is a masterpiece of information density and narrative power, a chart that functions as history, as data analysis, and as a profound anti-war statement. Parents can design a beautiful nursery on a modest budget. Using techniques like collaborative filtering, the system can identify other users with similar tastes and recommend products that they have purchased. " The power of creating such a chart lies in the process itself. He famously said, "The greatest value of a picture is when it forces us to notice what we never expected to see. This is the moment the online catalog begins to break free from the confines of the screen, its digital ghosts stepping out into our physical world, blurring the line between representation and reality.The Third Fermi Large Area Telescope Catalog of GammaRay Pulsars
(PDF) Fermi Large Area Telescope observations of highenergy gammaray
The Fermi telescope’s third catalog of gammaray pulsars IRFU
PPT Fermi Large Area Telescope Year One Highlights PowerPoint
PPT GeV Gammaray Observations of Galaxy Clusters with the Fermi LAT
(PDF) The Third Catalog of Active Galactic Nuclei Detected by the Fermi
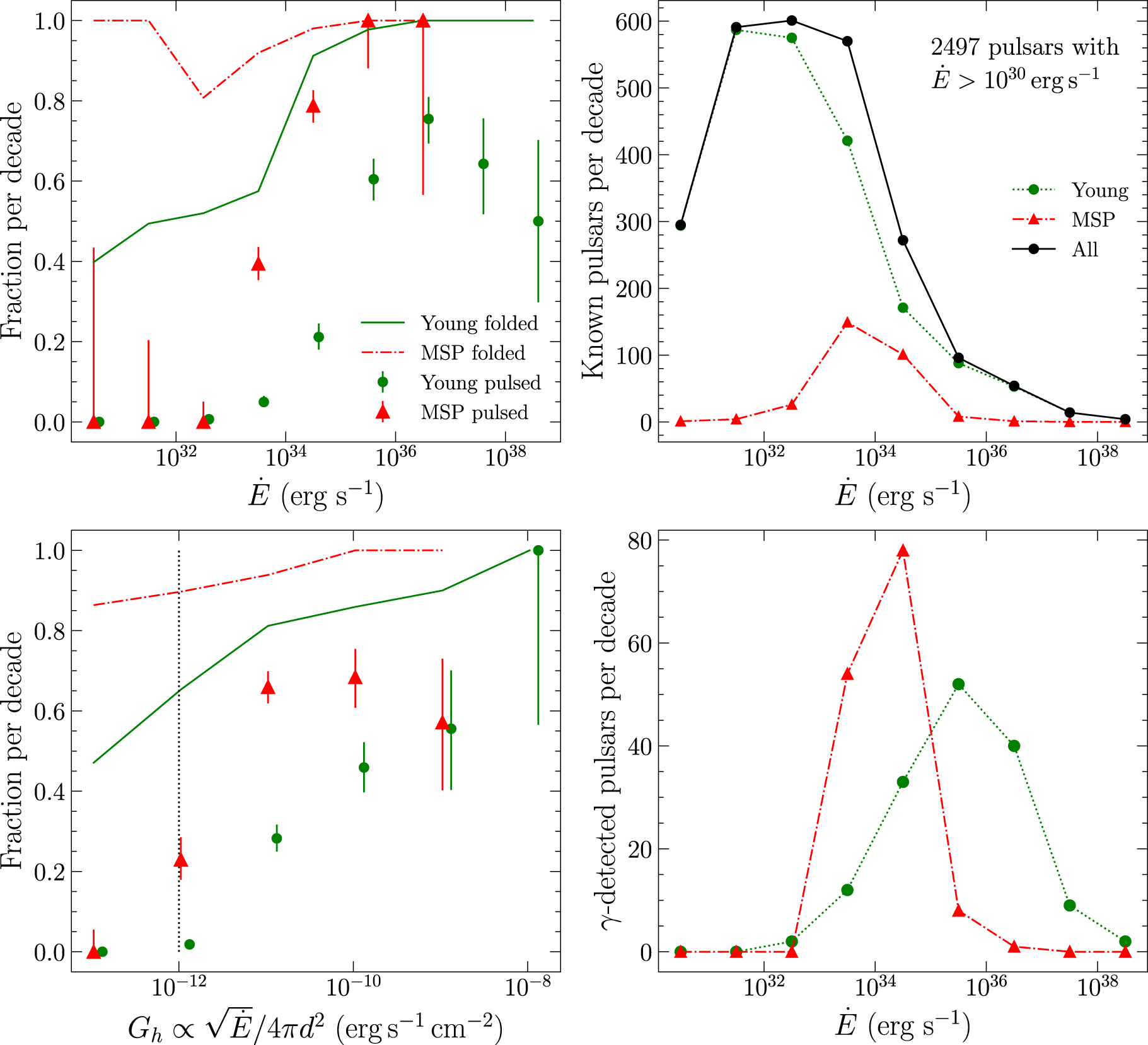
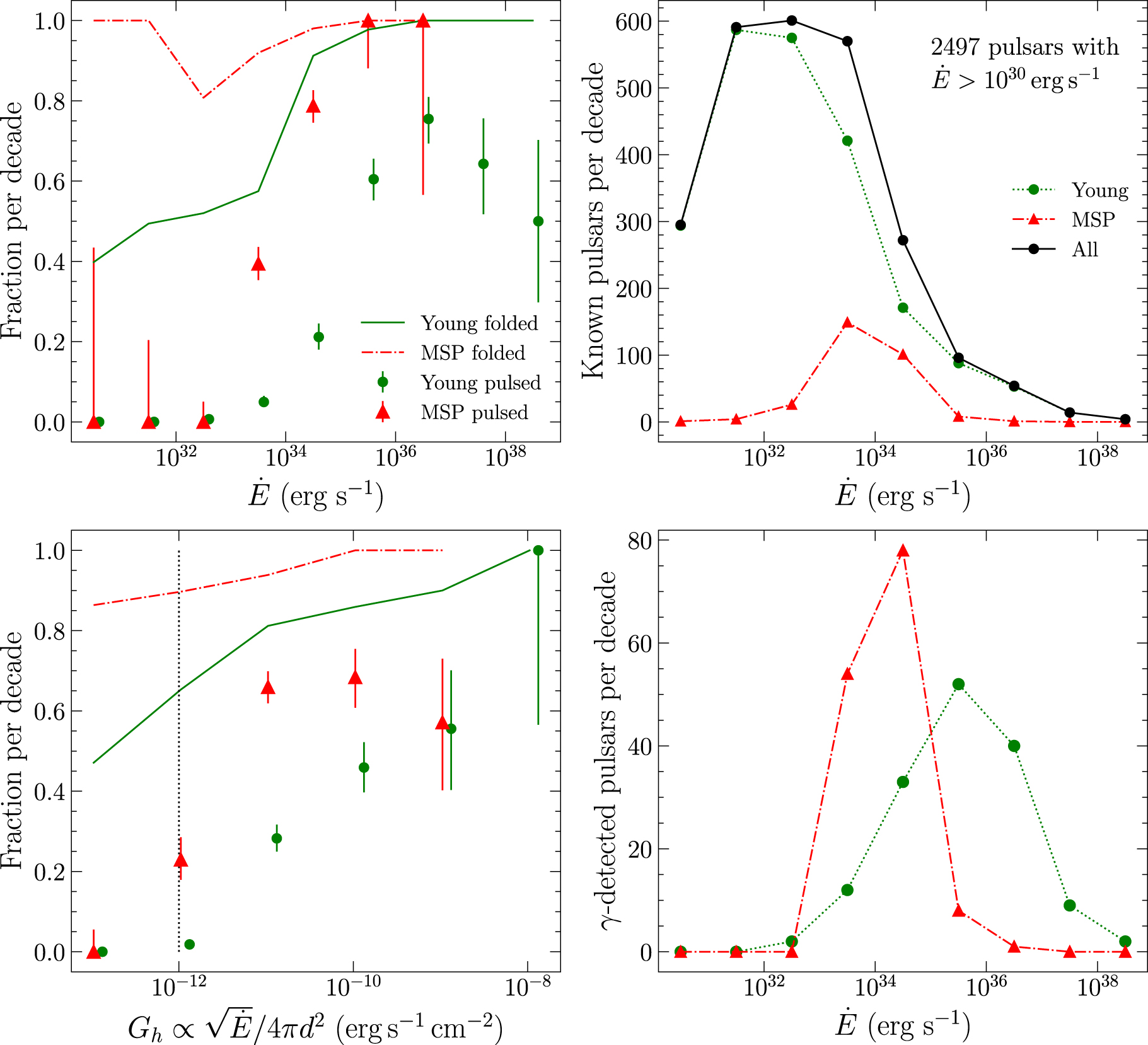
The Third Fermi Large Area Telescope Catalog of GammaRay Pulsars
The Third Fermi Large Area Telescope Catalog of GammaRay Pulsars
Fermi pictures
(PDF) 3FHL The Third Catalog of Hard Fermi LAT Sources
(PDF) Dark Matter Searches with the Fermi Large Area Telescope
PPT The VLBA and Fermi Dave Thompson NASA GSFC Fermi Large Area
The Third Fermi Large Area Telescope Catalog of GammaRay Pulsars
PPT Fermi Large Area Telescope Year One Highlights PowerPoint
The Third Fermi Large Area Telescope Catalog of GammaRay Pulsars
The Third Fermi Large Area Telescope Catalog of GammaRay Pulsars
About The Fermi Large Area Telescope
Fermi GammaRay Space Telescope Learning Center
(PDF) Incremental Fermi Large Area Telescope Fourth Source Catalog
The Third Fermi Large Area Telescope Catalog of GammaRay Pulsars
The Third Fermi Large Area Telescope Catalog of GammaRay Pulsars
(PDF) Fermi Large Area Telescope Third Source Catalog
PPT Observations of Extragalactic Diffuse GammaRay Emission with
The Third Fermi Large Area Telescope Catalog of GammaRay Pulsars
The Fermi Large Area Telescope preliminary results from
PPT GammaRay Telescopes PowerPoint Presentation, free download ID
The Third Fermi Large Area Telescope Catalog of GammaRay Pulsars
The Third Fermi Large Area Telescope Catalog of GammaRay Pulsars
PPT Fermi Large Area Telescope Year One Highlights PowerPoint
(PDF) The Fourth Catalog of Active Galactic Nuclei Detected by the
(PDF) Fermi Large Area Telescope First Source Catalog
(PDF) Refining the Associations of the Fermi Large Area Telescope
Figure 1 from The new event analysis of the Fermi Large Area Telescope
(PDF) Fermi Large Area Telescope Second Source Catalog
(PDF) Fermi Large Area Telescope First Source Catalog
Related Post:

































