Enc Catalog
Enc Catalog - This file can be stored, shared, and downloaded with effortless precision. The products it surfaces, the categories it highlights, the promotions it offers are all tailored to that individual user. It acts as an external memory aid, offloading the burden of recollection and allowing our brains to focus on the higher-order task of analysis. Care must be taken when handling these components. What are their goals? What are their pain points? What does a typical day look like for them? Designing for this persona, instead of for yourself, ensures that the solution is relevant and effective. The true cost becomes apparent when you consider the high price of proprietary ink cartridges and the fact that it is often cheaper and easier to buy a whole new printer than to repair the old one when it inevitably breaks. This ambitious project gave birth to the metric system. " This was another moment of profound revelation that provided a crucial counterpoint to the rigid modernism of Tufte. It considers the entire journey a person takes with a product or service, from their first moment of awareness to their ongoing use and even to the point of seeking support. 70 In this case, the chart is a tool for managing complexity. This is your central hub for controlling navigation, climate, entertainment, and phone functions. A Sankey diagram is a type of flow diagram where the width of the arrows is proportional to the flow quantity. I know I still have a long way to go, but I hope that one day I'll have the skill, the patience, and the clarity of thought to build a system like that for a brand I believe in. The lathe features a 12-station, bi-directional hydraulic turret for tool changes, with a station-to-station index time of 0. The page is cluttered with bright blue hyperlinks and flashing "buy now" gifs. Now, we are on the cusp of another major shift with the rise of generative AI tools. We can choose to honor the wisdom of an old template, to innovate within its constraints, or to summon the courage and creativity needed to discard it entirely and draw a new map for ourselves. This has led to the rise of iterative design methodologies, where the process is a continuous cycle of prototyping, testing, and learning. The next step is to adjust the mirrors. They now have to communicate that story to an audience. " It was a powerful, visceral visualization that showed the shocking scale of the problem in a way that was impossible to ignore. Refer to the corresponding section in this manual to understand its meaning and the recommended action. A simple habit tracker chart, where you color in a square for each day you complete a desired action, provides a small, motivating visual win that reinforces the new behavior. It uses evocative, sensory language to describe the flavor and texture of the fruit. In the 21st century, crochet has experienced a renaissance. It would need to include a measure of the well-being of the people who made the product. A professional designer in the modern era can no longer afford to be a neutral technician simply executing a client’s orders without question. Before you start the vehicle, you must adjust your seat to a proper position that allows for comfortable and safe operation. There are entire websites dedicated to spurious correlations, showing how things like the number of Nicholas Cage films released in a year correlate almost perfectly with the number of people who drown by falling into a swimming pool. The printable chart is not just a passive record; it is an active cognitive tool that helps to sear your goals and plans into your memory, making you fundamentally more likely to follow through. A doctor can print a custom surgical guide based on a patient's CT scan. In addition to its artistic value, drawing also has practical applications in various fields, including design, architecture, engineering, and education. This same principle is evident in the world of crafts and manufacturing. While the convenience is undeniable—the algorithm can often lead to wonderful discoveries of things we wouldn't have found otherwise—it comes at a cost. The printable template facilitates a unique and powerful hybrid experience, seamlessly blending the digital and analog worlds. The classic "shower thought" is a real neurological phenomenon. Disassembly of major components should only be undertaken after a thorough diagnosis has pinpointed the faulty sub-system. 73 To save on ink, especially for draft versions of your chart, you can often select a "draft quality" or "print in black and white" option. Many users send their files to local print shops for professional quality. The process of driving your Toyota Ascentia is designed to be both intuitive and engaging. In conclusion, the concept of the printable is a dynamic and essential element of our modern information society. It’s a humble process that acknowledges you don’t have all the answers from the start. The user’s task is reduced from one of complex design to one of simple data entry. He said, "An idea is just a new connection between old things. Having to design a beautiful and functional website for a small non-profit with almost no budget forces you to be clever, to prioritize features ruthlessly, and to come up with solutions you would never have considered if you had unlimited resources. He used animated scatter plots to show the relationship between variables like life expectancy and income for every country in the world over 200 years. Amidst a sophisticated suite of digital productivity tools, a fundamentally analog instrument has not only persisted but has demonstrated renewed relevance: the printable chart. It was a triumph of geo-spatial data analysis, a beautiful example of how visualizing data in its physical context can reveal patterns that are otherwise invisible. The card catalog, like the commercial catalog that would follow and perfect its methods, was a tool for making a vast and overwhelming collection legible, navigable, and accessible. This meticulous process was a lesson in the technical realities of design. As your plants grow and mature, your Aura Smart Planter will continue to provide the ideal conditions for their well-being. Study the textures, patterns, and subtle variations in light and shadow. They were directly responsible for reforms that saved countless lives. You should also visually inspect your tires for any signs of damage or excessive wear. I began with a disdain for what I saw as a restrictive and uncreative tool. To understand any catalog sample, one must first look past its immediate contents and appreciate the fundamental human impulse that it represents: the drive to create order from chaos through the act of classification. It demonstrated that a brand’s color isn't just one thing; it's a translation across different media, and consistency can only be achieved through precise, technical specifications. This represents the ultimate evolution of the printable concept: the direct materialization of a digital design. The information, specifications, and illustrations in this manual are those in effect at the time of printing. If it detects a loss of traction or a skid, it will automatically apply the brakes to individual wheels and may reduce engine power to help stabilize the vehicle. This free manual is written with the home mechanic in mind, so we will focus on tools that provide the best value and versatility. They were the holy trinity of Microsoft Excel, the dreary, unavoidable illustrations in my high school science textbooks, and the butt of jokes in business presentations. I can design a cleaner navigation menu not because it "looks better," but because I know that reducing the number of choices will make it easier for the user to accomplish their goal. In an age where digital fatigue is a common affliction, the focused, distraction-free space offered by a physical chart is more valuable than ever. It is a guide, not a prescription. A high data-ink ratio is a hallmark of a professionally designed chart. The online catalog is no longer just a place we go to buy things; it is the primary interface through which we access culture, information, and entertainment. The file format is another critical component of a successful printable. A powerful explanatory chart often starts with a clear, declarative title that states the main takeaway, rather than a generic, descriptive title like "Sales Over Time. Using such a presentation template ensures visual consistency and allows the presenter to concentrate on the message rather than the minutiae of graphic design. The contents of this manual are organized to provide a logical flow of information, starting with the essential pre-driving checks and moving through to detailed operational instructions, maintenance schedules, and emergency procedures. 1 Beyond chores, a centralized family schedule chart can bring order to the often-chaotic logistics of modern family life. Beyond invoices, one can find a printable business card template with precise dimensions and crop marks, a printable letterhead template to ensure consistent branding, and comprehensive printable business plan templates that guide aspiring entrepreneurs through every section, from executive summary to financial projections. The system will then process your request and display the results. It’s about cultivating a mindset of curiosity rather than defensiveness. 18 The physical finality of a pen stroke provides a more satisfying sense of completion than a digital checkmark that can be easily undone or feels less permanent. Many people find that working on a crochet project provides a sense of accomplishment and purpose, which can be especially valuable during challenging times. From a simple plastic bottle to a complex engine block, countless objects in our world owe their existence to this type of industrial template.This code likely refers to a specific document, image, or reference in
VT018 CREATING ENC REQUEST ON DIGITAL CATALOG YouTube
David Burch wants to educate us about Electronic Navigation Charts (ENC
ENCBearingsCatalog en PDF Building Engineering Materials
ENC Symbol Explanation Additional Information 5011 Ref A B A B PDF
ECDIS awareness series No.1. ENC Chart Scale/Информационная серия по
Free ENC river charts for use with MacENC Navigation Mac & Co
ECDIS HOW TO INSTALL ENC CHART, Weekly AVCS Cell permit, BASE CD's
Tornos Bechler ENC164 CNC Swiss Automatic Lathe Sales Catalog, Swiss
CATALOG Electronics China
enc catalog 20170112(番號)
ENC ElDorado National California Riverside CA
07 Quick Guide To ENC Symbols PDF
SOLUTION S 67 mariners guide to accuracy of depth information in an
UNOVICS ENC, The Republic of Korea Komachine Supplier Profile and
ENC More time on the road. Fewer unexpected costs. That’s the power
Magasin ENC
ENC File What is an .enc file and how do I open it?
ENC vs. ANC What's the Difference and Which Is Better?
UNOVICS ENC, The Republic of Korea Komachine Supplier Profile and
Welche Vorteile bietet ENC in Kroatien? Wo kaufen?
ENC ElDorado National California Riverside CA
Chart catalogs Office of Coast Survey
Electronic Navigational Chart (ENC) Production Tools SevenCs GmbH
Understanding ENCs ADMIRALTY
ENC Essentials Getting Started with Electronic Navigational Charts
이앤씨 ENC
Downloading Electronic Navigational Charts (S57) Eye4Software
UNOVICS ENC, The Republic of Korea Komachine Supplier Profile and
AN OVERVIEW OF THE COVERAGE WITH ENC IN THE MESOAMERICAN REGIONAL
Admiralty guide to ENC symbols used in ECDIS. NP5012. 2st edition. 2015
Conferences Every Nation Campus
IHO Online Catalogues IHO
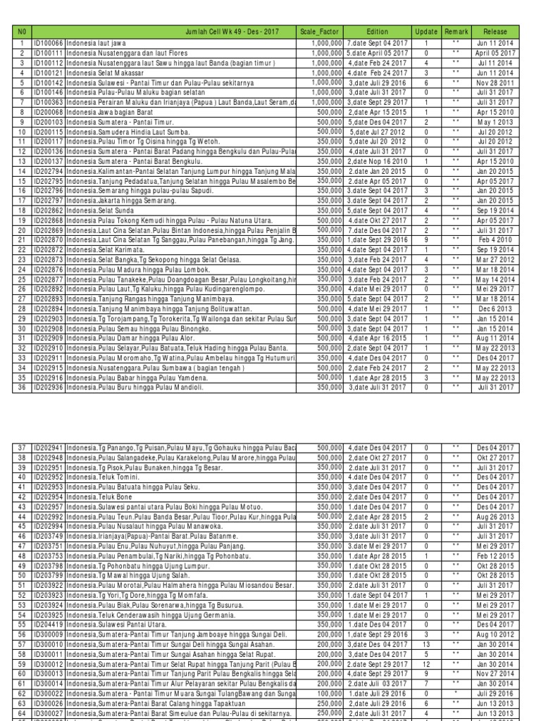
List Katalog Peta Laut ENC Week 49 Des 2017 PDF
Related Post:
























