Electrical Parts Catalog
Electrical Parts Catalog - Yarn comes in a vast array of fibers, from traditional wool and cotton to luxurious alpaca and silk, each offering its own unique qualities and characteristics. As they gain confidence and experience, they can progress to more complex patterns and garments, exploring the vast array of textures, colors, and designs that knitting offers. It is the difficult, necessary, and ongoing work of being a conscious and responsible citizen in a world where the true costs are so often, and so deliberately, hidden from view. Mindful journaling can be particularly effective in reducing stress and enhancing emotional regulation. This is where things like brand style guides, design systems, and component libraries become critically important. Designers use drawing to develop concepts and prototypes for products, buildings, and landscapes. In the sprawling, interconnected landscape of the digital world, a unique and quietly revolutionary phenomenon has taken root: the free printable. A basic pros and cons chart allows an individual to externalize their mental debate onto paper, organizing their thoughts, weighing different factors objectively, and arriving at a more informed and confident decision. You don’t notice the small, daily deposits, but over time, you build a wealth of creative capital that you can draw upon when you most need it. In the corporate environment, the organizational chart is perhaps the most fundamental application of a visual chart for strategic clarity. As you type, the system may begin to suggest matching model numbers in a dropdown list. The visual hierarchy must be intuitive, using lines, boxes, typography, and white space to guide the user's eye and make the structure immediately understandable. The experience is often closer to browsing a high-end art and design magazine than to a traditional shopping experience. Each cell at the intersection of a row and a column is populated with the specific value or status of that item for that particular criterion. It is a piece of furniture in our mental landscape, a seemingly simple and unassuming tool for presenting numbers. The utility of a printable chart extends across a vast spectrum of applications, from structuring complex corporate initiatives to managing personal development goals. Kneaded erasers can be shaped to lift graphite without damaging the paper, perfect for lightening areas and creating highlights. 63Designing an Effective Chart: From Clutter to ClarityThe design of a printable chart is not merely about aesthetics; it is about applied psychology. They are the product of designers who have the patience and foresight to think not just about the immediate project in front of them, but about the long-term health and coherence of the brand or product. But when I started applying my own system to mockups of a website and a brochure, the magic became apparent. This impulse is one of the oldest and most essential functions of human intellect. Classroom decor, like alphabet banners and calendars, is also available. Without the constraints of color, artists can focus on refining their drawing techniques and exploring new approaches to mark-making and texture. If a warning light, such as the Malfunction Indicator Lamp (Check Engine Light) or the Brake System Warning Light, illuminates and stays on, it indicates a problem that may require professional attention. As we continue on our journey of self-discovery and exploration, may we never lose sight of the transformative power of drawing to inspire, uplift, and unite us all. Hovering the mouse over a data point can reveal a tooltip with more detailed information. It is a record of our ever-evolving relationship with the world of things, a story of our attempts to organize that world, to understand it, and to find our own place within it. The length of a bar becomes a stand-in for a quantity, the slope of a line represents a rate of change, and the colour of a region on a map can signify a specific category or intensity. They were a call to action. A printable map can be used for a geography lesson, and a printable science experiment guide can walk students through a hands-on activity. It is a sample of a utopian vision, a belief that good design, a well-designed environment, could lead to a better, more logical, and more fulfilling life. Of course, there was the primary, full-color version. Things like naming your files logically, organizing your layers in a design file so a developer can easily use them, and writing a clear and concise email are not trivial administrative tasks. Subjective criteria, such as "ease of use" or "design aesthetic," should be clearly identified as such, perhaps using a qualitative rating system rather than a misleadingly precise number. The rise of broadband internet allowed for high-resolution photography, which became the new standard. The animation transformed a complex dataset into a breathtaking and emotional story of global development. AI can help us find patterns in massive datasets that a human analyst might never discover. A mechanical engineer can design a new part, create a 3D printable file, and produce a functional prototype in a matter of hours, drastically accelerating the innovation cycle. They were the holy trinity of Microsoft Excel, the dreary, unavoidable illustrations in my high school science textbooks, and the butt of jokes in business presentations. It’s the disciplined practice of setting aside your own assumptions and biases to understand the world from someone else’s perspective. The rise of template-driven platforms, most notably Canva, has fundamentally changed the landscape of visual communication. This is the single most important distinction, the conceptual leap from which everything else flows. It is a journey from uncertainty to clarity. 96 The printable chart has thus evolved from a simple organizational aid into a strategic tool for managing our most valuable resource: our attention. You should check the pressure in all four tires, including the compact spare, at least once a month using a quality pressure gauge. This feature is particularly useful in stop-and-go traffic. In an age of seemingly endless digital solutions, the printable chart has carved out an indispensable role. Understanding how forms occupy space will allow you to create more realistic drawings. Thus, the printable chart makes our goals more memorable through its visual nature, more personal through the act of writing, and more motivating through the tangible reward of tracking progress. This well-documented phenomenon reveals that people remember information presented in pictorial form far more effectively than information presented as text alone. The ability to choose the exact size and frame is a major advantage. The clumsy layouts were a result of the primitive state of web design tools. She champions a more nuanced, personal, and, well, human approach to visualization. The technological constraint of designing for a small mobile screen forces you to be ruthless in your prioritization of content. Sometimes that might be a simple, elegant sparkline. For early childhood development, the printable coloring page is more than just entertainment; it is a valuable tool for developing fine motor skills and color recognition. The evolution of the template took its most significant leap with the transition from print to the web. Printable calendars, planners, and to-do lists help individuals organize their lives effectively. Yet, this ubiquitous tool is not merely a passive vessel for information; it is an active instrument of persuasion, a lens that can focus our attention, shape our perspective, and drive our decisions. This basic structure is incredibly versatile, appearing in countless contexts, from a simple temperature chart converting Celsius to Fahrenheit on a travel website to a detailed engineering reference for converting units of pressure like pounds per square inch (psi) to kilopascals (kPa). I used to believe that an idea had to be fully formed in my head before I could start making anything. It mimics the natural sunlight that plants need for photosynthesis, providing the perfect light spectrum for healthy growth. The user was no longer a passive recipient of a curated collection; they were an active participant, able to manipulate and reconfigure the catalog to suit their specific needs. It is stored in a separate database. The currently selected gear is always displayed in the instrument cluster. It’s funny, but it illustrates a serious point. This was the moment the scales fell from my eyes regarding the pie chart. The caliper piston, which was pushed out to press on the old, worn pads, needs to be pushed back into the caliper body. It returns zero results for a reasonable query, it surfaces completely irrelevant products, it feels like arguing with a stubborn and unintelligent machine. Research conducted by Dr. While these systems are highly advanced, they are aids to the driver and do not replace the need for attentive and safe driving practices. That disastrous project was the perfect, humbling preamble to our third-year branding module, where our main assignment was to develop a complete brand identity for a fictional company and, to my initial dread, compile it all into a comprehensive design manual. The print catalog was a one-to-many medium. A chart is, at its core, a technology designed to augment the human intellect.MAIN Electrical Parts List Parts Code Design LOC Description PDF
Electrical Tools Name List
Electrical Part List PDF Electronics Electrical Engineering
Electrical material Picture with names Electrical material details
Electrical Parts Online Parts Catalogue Part Tech Ltd.
Electrical Catalog PDF Electrical Wiring Alternating Current
Electrical Catalogue 7
Electrical Spare Parts Catalogue 2015. PDF Electrical Connector
TABLE OF ELECTRONIC COMPONENTS
Electrical Panel Parts Diagram and Their Functions
Diagram Of An Electrical Outlet With Label Electrical Outlet
Electrical House Wiring Materials List With Pictures Require
Electrical Wiring Terminology Beginners Guide To Electrical
Electrical Catalogue 7
Electrical Catalogue 7
Electrical Catalogue 7
Electrical Wiring Materials Premium Photo
10 common electronic components and their symbols IBE Electronics
Electrical accessories list Part 1 electrical wiring materials names
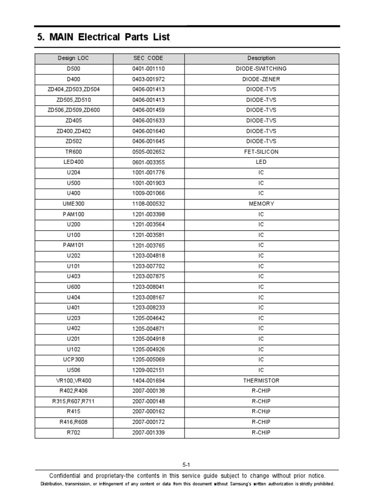
MAIN Electrical Parts List Sec Code Design LOC Description PDF
Electrical Equipment Name list Electrical Fitting Equipment list
All Electronic Components Names and Pictures Part 1 YouTube
Manufacturer Catalogs City Electric Supply
Buy ILLUSTRATED DELCO REMYNORTH EAST Electrical Parts Catalog 1920s39
Würth Elektronik Releases 2020 Electronic Components Catalogue
Electrical Part List PDF PDF
Trendy Electrical Parts Catalogue PDF
Electric Catalog, Electrical Switchgear and Protection PDF DOHO
Electrical all parts online
Grote Part Reference Guides Grote Industries
Electrical parts list with pictures online
Electronic Components Names A Comprehensive Guide
Related Post:
























