Cosmos2015 Catalog
Cosmos2015 Catalog - With your foot firmly on the brake pedal, press the engine START/STOP button. The benefits of a well-maintained organizational chart extend to all levels of a company. This is the process of mapping data values onto visual attributes. Tambour involved using a small hook to create chain-stitch embroidery on fabric, which closely resembles modern crochet techniques. The lathe features a 12-station, bi-directional hydraulic turret for tool changes, with a station-to-station index time of 0. Bringing Your Chart to Life: Tools and Printing TipsCreating your own custom printable chart has never been more accessible, thanks to a variety of powerful and user-friendly online tools. She used her "coxcomb" diagrams, a variation of the pie chart, to show that the vast majority of soldier deaths were not from wounds sustained in battle but from preventable diseases contracted in the unsanitary hospitals. Kitchen organization printables include meal planners and recipe cards. The catalog's demand for our attention is a hidden tax on our mental peace. More than a mere table or a simple graphic, the comparison chart is an instrument of clarity, a framework for disciplined thought designed to distill a bewildering array of information into a clear, analyzable format. How does a person move through a physical space? How does light and shadow make them feel? These same questions can be applied to designing a website. This makes them a potent weapon for those who wish to mislead. The instrument panel of your Aeris Endeavour is your primary source of information about the vehicle's status and performance. As mentioned, many of the most professionally designed printables require an email address for access. The manual will be clearly labeled and presented as a downloadable link, often accompanied by a PDF icon. It is an act of respect for the brand, protecting its value and integrity. This perspective suggests that data is not cold and objective, but is inherently human, a collection of stories about our lives and our world. This was the direct digital precursor to the template file as I knew it. The materials chosen for a piece of packaging contribute to a global waste crisis. This catalog sample is not a mere list of products for sale; it is a manifesto. It champions principles of durability, repairability, and the use of renewable resources. The most critical safety devices are the seat belts. A professional designer knows that the content must lead the design. They wanted to see the product from every angle, so retailers started offering multiple images. Contemporary crochet is characterized by its diversity and inclusivity. The budget constraint forces you to be innovative with materials. 2 The beauty of the chore chart lies in its adaptability; there are templates for rotating chores among roommates, monthly charts for long-term tasks, and specific chore chart designs for teens, adults, and even couples. A template is designed with an idealized set of content in mind—headlines of a certain length, photos of a certain orientation. The paper is rough and thin, the page is dense with text set in small, sober typefaces, and the products are rendered not in photographs, but in intricate, detailed woodcut illustrations. For unresponsive buttons, first, try cleaning around the button's edges with a small amount of isopropyl alcohol on a swab to dislodge any debris that may be obstructing its movement. I am not a neutral conduit for data. Our cities are living museums of historical ghost templates. This versatility is impossible with traditional, physical art prints. What Tufte articulated as principles of graphical elegance are, in essence, practical applications of cognitive psychology. 31 In more structured therapeutic contexts, a printable chart can be used to track progress through a cognitive behavioral therapy (CBT) workbook or to practice mindfulness exercises. Kneaded erasers can be shaped to lift graphite without damaging the paper, perfect for lightening areas and creating highlights. His work was not merely an aesthetic exercise; it was a fundamental shift in analytical thinking, a new way to reason with evidence. An educational chart, such as a multiplication table, an alphabet chart, or a diagram illustrating a scientific life cycle, leverages the fundamental principles of visual learning to make complex information more accessible and memorable for students. A headline might be twice as long as the template allows for, a crucial photograph might be vertically oriented when the placeholder is horizontal. As they gain confidence and experience, they can progress to more complex patterns and garments, exploring the vast array of textures, colors, and designs that knitting offers. This manual is structured to guide the technician logically from general information and safety protocols through to advanced diagnostics and component-level repair and reassembly. The template contained a complete set of pre-designed and named typographic styles. It is a chart of human systems, clarifying who reports to whom and how the enterprise is structured. It reduces mental friction, making it easier for the brain to process the information and understand its meaning. You begin to see the same layouts, the same font pairings, the same photo styles cropping up everywhere. If a warning lamp illuminates, do not ignore it. However, digital journaling also presents certain challenges, such as the potential for distractions and concerns about privacy. 1 Furthermore, studies have shown that the brain processes visual information at a rate up to 60,000 times faster than text, and that the use of visual tools can improve learning by an astounding 400 percent. We are not purely rational beings. This potential has been realized in a stunningly diverse array of applications, from the organizational printable that structures our daily lives to the educational printable that enriches the minds of children, and now to the revolutionary 3D printable that is changing how we create physical objects. This is especially popular within the planner community. In Europe, particularly in the early 19th century, crochet began to gain popularity. I've learned that this is a field that sits at the perfect intersection of art and science, of logic and emotion, of precision and storytelling. Alongside this broad consumption of culture is the practice of active observation, which is something entirely different from just looking. A professional, however, learns to decouple their sense of self-worth from their work. And finally, there are the overheads and the profit margin, the costs of running the business itself—the corporate salaries, the office buildings, the customer service centers—and the final slice that represents the company's reason for existing in the first place. A professional understands that their responsibility doesn’t end when the creative part is done. They can then print the file using their own home printer. It allows the user to move beyond being a passive consumer of a pre-packaged story and to become an active explorer of the data. It is a sample of a utopian vision, a belief that good design, a well-designed environment, could lead to a better, more logical, and more fulfilling life. Just like learning a spoken language, you can’t just memorize a few phrases; you have to understand how the sentences are constructed. From here, you can monitor the water level, adjust the light schedule, and receive helpful notifications and tips tailored to the specific plant you have chosen to grow. Before unbolting the top plate, use a marker to create alignment marks between the plate and the main turret body to ensure correct orientation during reassembly. What is this number not telling me? Who, or what, paid the costs that are not included here? What is the story behind this simple figure? The real cost catalog, in the end, is not a document that a company can provide for us. Of course, this new power came with a dark side. It's a single source of truth that keeps the entire product experience coherent. The printed page, once the end-product of a long manufacturing chain, became just one of many possible outputs, a single tangible instance of an ethereal digital source. Adjust the seat forward or backward so that you can fully depress the pedals with a slight bend in your knees. The sheer visual area of the blue wedges representing "preventable causes" dwarfed the red wedges for "wounds. In the sprawling, interconnected landscape of the digital world, a unique and quietly revolutionary phenomenon has taken root: the free printable. The template has become a dynamic, probabilistic framework, a set of potential layouts that are personalized in real-time based on your past behavior. The page is stark, minimalist, and ordered by an uncompromising underlying grid. A chart is a powerful rhetorical tool. The creator designs the product once. The aesthetics are still important, of course. " It is a sample of a possible future, a powerful tool for turning abstract desire into a concrete shopping list. Clear communication is a key part of good customer service. The act of browsing this catalog is an act of planning and dreaming, of imagining a future garden, a future meal.THE COSMOS2015 CATALOG EXPLORING THE 1
THE COSMOS2015 CATALOG EXPLORING THE 1
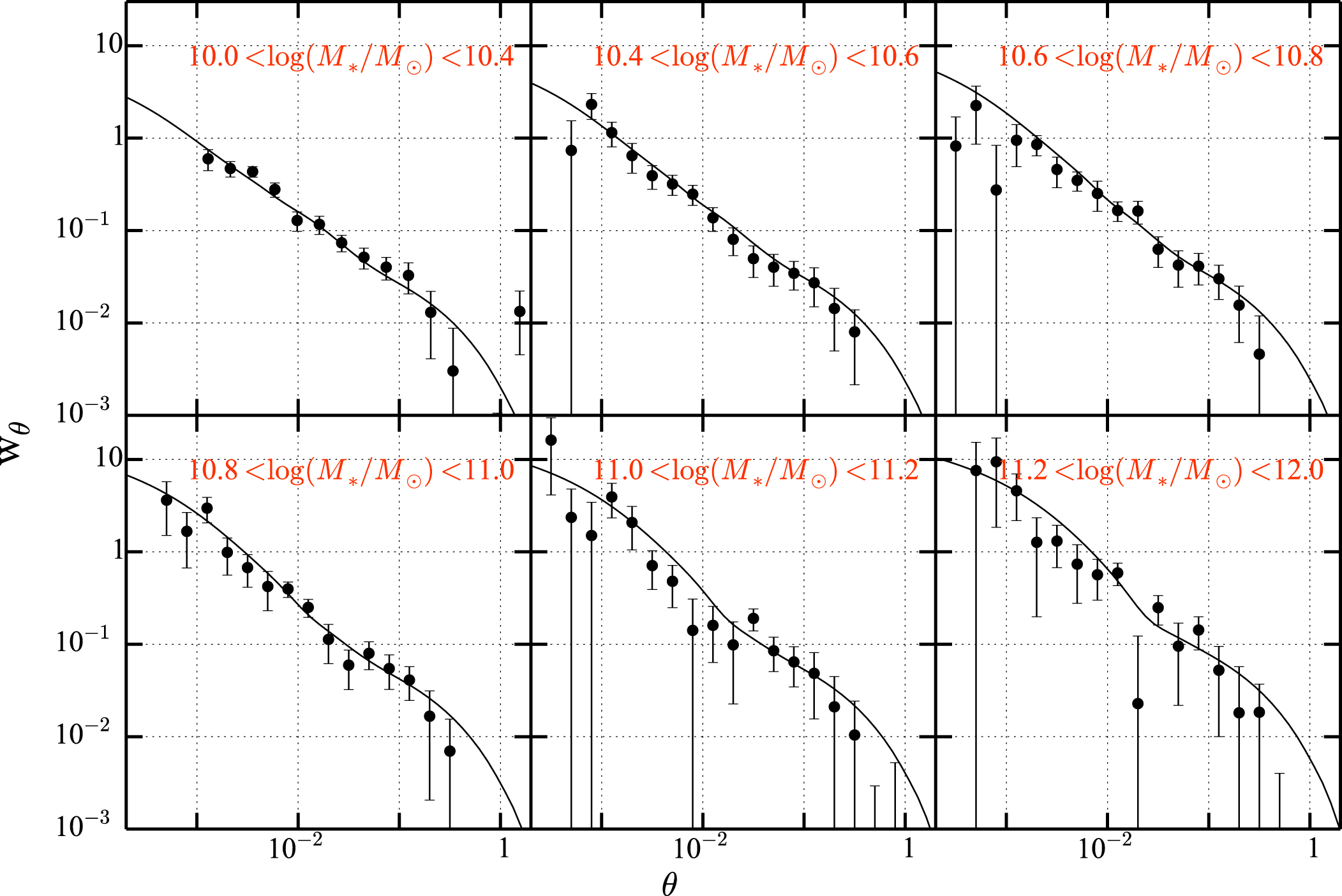
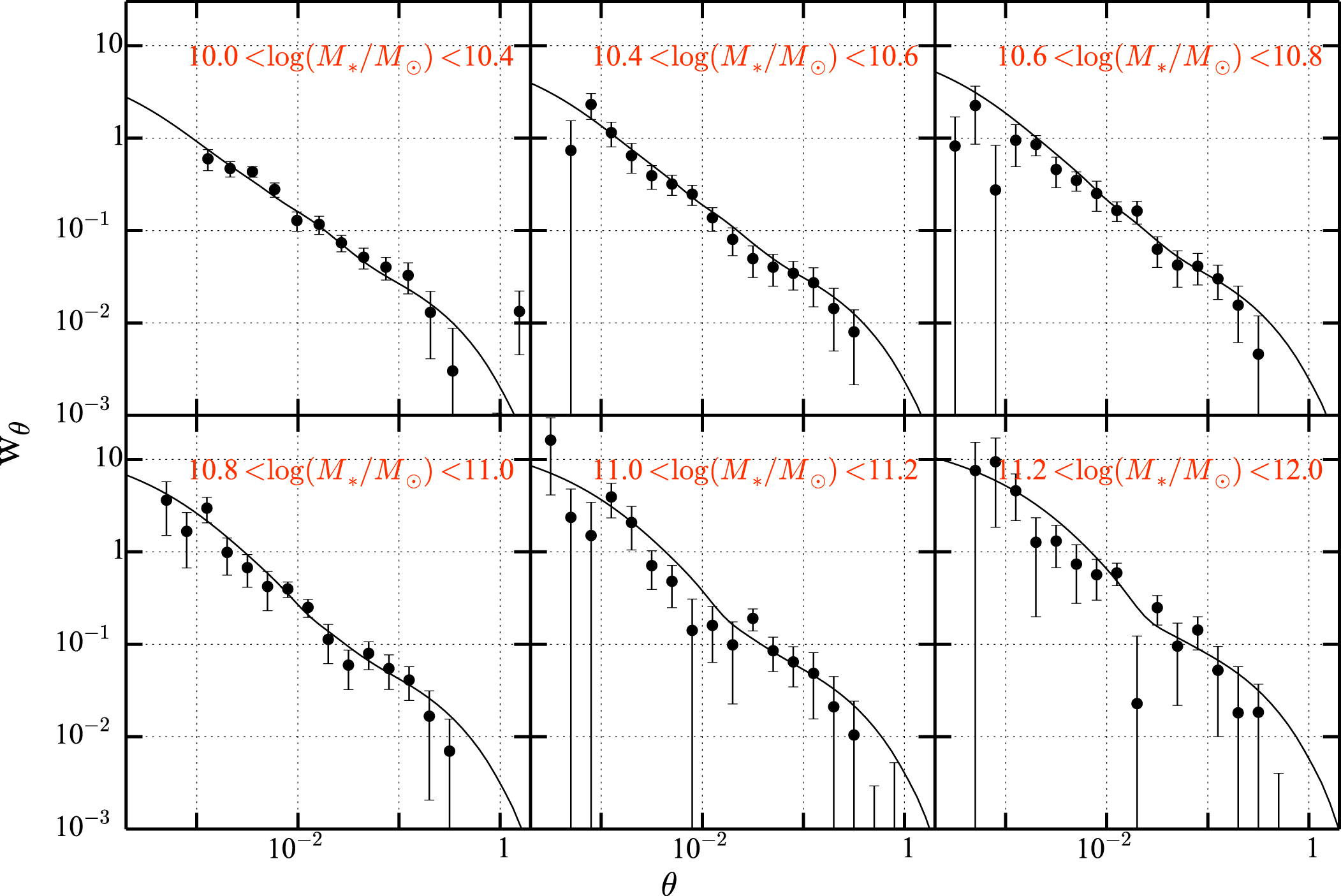
The LineofSight Analysis of Spatial Distribution of Galaxies in the
THE COSMOS2015 CATALOG EXPLORING THE 1
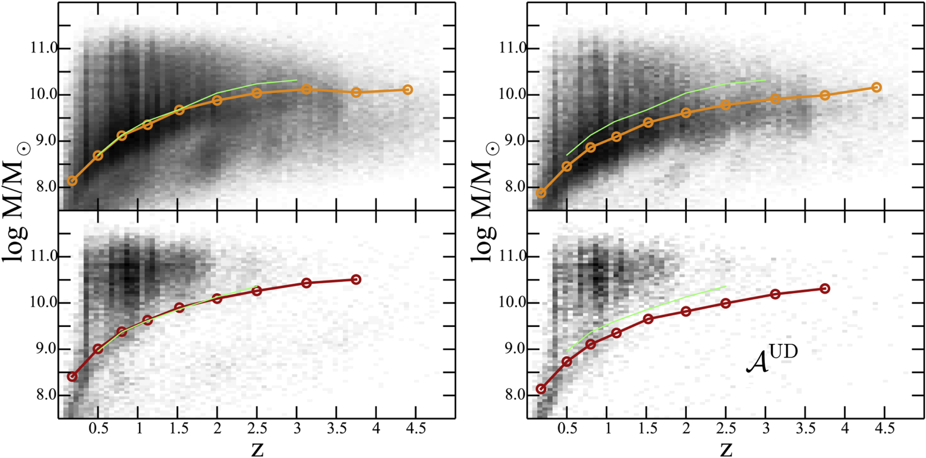
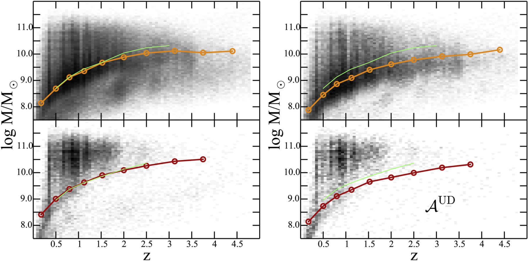
Stellar mass completeness of lensing surveys. The black solid line
2015 Cosmos North America Brochure
Cosmos Maroc Catalogue promotionel Jusqu’au 14 Juin 2015 DEAL 25
Cosmos Maroc Catalogue promotionnel Aid el Adha Jusqu’au 4 Octobre 2015
THE COSMOS2015 CATALOG EXPLORING THE 1
THE COSMOS2015 CATALOG EXPLORING THE 1
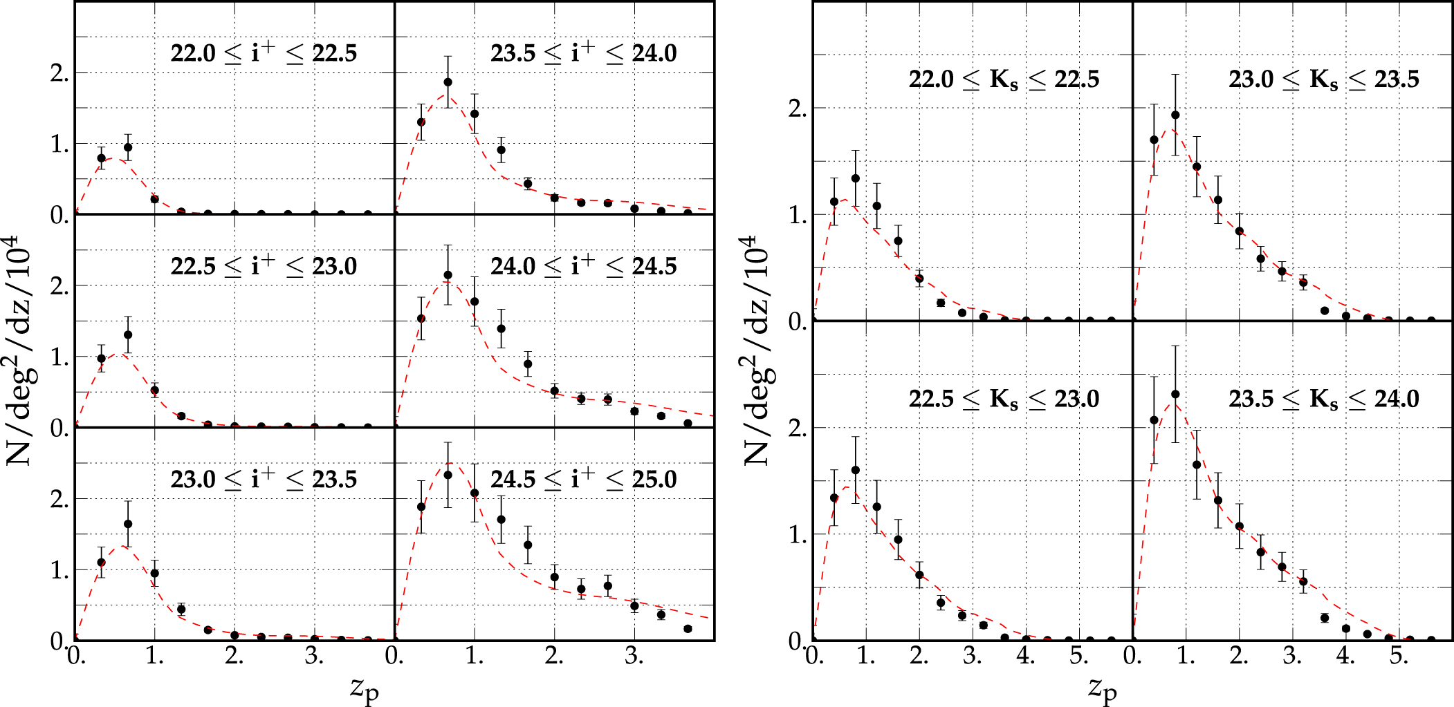
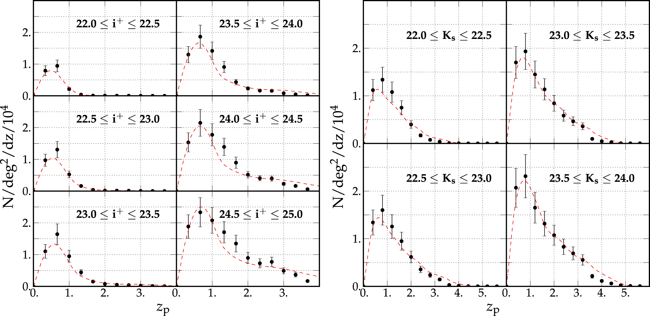
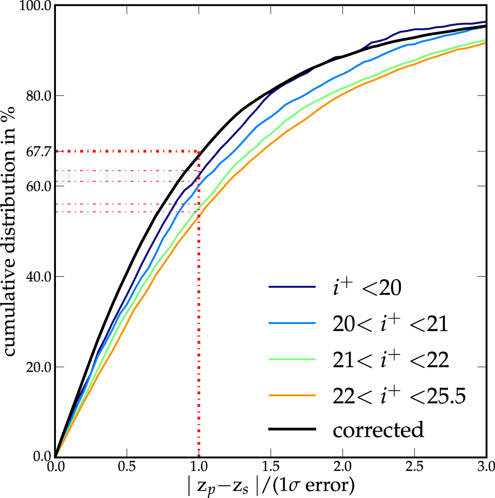
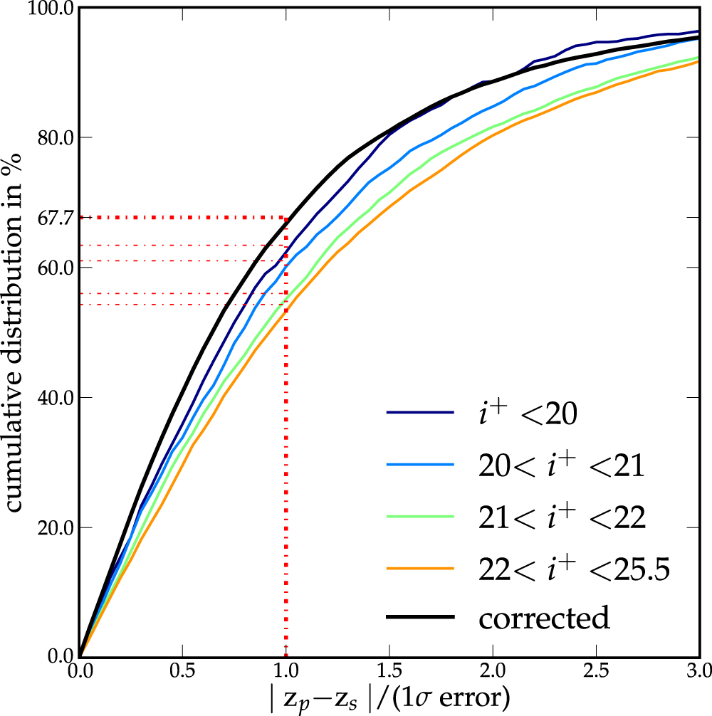
Upper panel Redshift histograms of the COSMOS2015 catalog with the
Catalogue Cosmos Electro fin d'année 2015
Cosmos (2015)
THE COSMOS2015 CATALOG EXPLORING THE 1
Cosmos (2015)
Cosmos (2015)
2015 Cosmos Religious Brochure
THE COSMOS2015 CATALOG EXPLORING THE 1
Cosmos (2015)
catalogocosmos2015defintivo160615 by Bya Issuu
THE COSMOS2015 CATALOG EXPLORING THE 1
Cosmos Maroc Catalogue promotionel Jusqu’au 26 Avril 2015 DEAL 24
THE COSMOS2015 CATALOG EXPLORING THE 1
Cosmos Maroc Catalogue promotionnel Jusqu’au 30 Novembre 2015 DEAL 28
2015 Cosmos Europe Brochure
THE COSMOS2015 CATALOG EXPLORING THE 1
THE COSMOS2015 CATALOG EXPLORING THE 1
THE COSMOS2015 CATALOG EXPLORING THE 1
THE COSMOS2015 CATALOG EXPLORING THE 1
Catalogues, Flyers & Brochures h/p/cosmos
(PDF) The LineofSight Analysis of Spatial Distribution of Galaxies in
Cosmos Maroc Catalogue promotionnel Jusqu’au 25 août 2015 DEAL 26
The LineofSight Analysis of Spatial Distribution of Galaxies in the
Cosmos Maroc Catalogue promotionel Jusqu’au 22 Février 2015 DEAL 22
Related Post:






























