College Of Staten Island Nursing Catalog
College Of Staten Island Nursing Catalog - The chart is no longer just a static image of a conclusion; it has become a dynamic workshop for building one. Then, they can market new products directly to their audience. The quality of the final print depends on the printer and paper used. As the craft evolved, it spread across continents and cultures, each adding their own unique styles and techniques. The binder system is often used with these printable pages. These platforms have taken the core concept of the professional design template and made it accessible to millions of people who have no formal design training. We are not purely rational beings. This catalog sample is a masterclass in functional, trust-building design. Teachers use them to create engaging lesson materials, worksheets, and visual aids. The power this unlocked was immense. A goal-setting chart is the perfect medium for applying proven frameworks like SMART goals—ensuring objectives are Specific, Measurable, Achievable, Relevant, and Time-bound. For a student facing a large, abstract goal like passing a final exam, the primary challenge is often anxiety and cognitive overwhelm. It does not plead or persuade; it declares. It reveals the technological capabilities, the economic forces, the aesthetic sensibilities, and the deepest social aspirations of the moment it was created. Between the pure utility of the industrial catalog and the lifestyle marketing of the consumer catalog lies a fascinating and poetic hybrid: the seed catalog. A good template feels intuitive. The second huge counter-intuitive truth I had to learn was the incredible power of constraints. Using the steering wheel-mounted controls, you can cycle through various screens on this display to view trip computer information, fuel economy data, audio system status, navigation turn-by-turn directions, and the status of your vehicle's safety systems. In Europe, particularly in the early 19th century, crochet began to gain popularity. How can we ever truly calculate the full cost of anything? How do you place a numerical value on the loss of a species due to deforestation? What is the dollar value of a worker's dignity and well-being? How do you quantify the societal cost of increased anxiety and decision fatigue? The world is a complex, interconnected system, and the ripple effects of a single product's lifecycle are vast and often unknowable. They feature editorial sections, gift guides curated by real people, and blog posts that tell the stories behind the products. The critique session, or "crit," is a cornerstone of design education, and for good reason. The genius lies in how the properties of these marks—their position, their length, their size, their colour, their shape—are systematically mapped to the values in the dataset. This practice can also promote a sense of calm and groundedness, making it easier to navigate life’s challenges. 42The Student's Chart: Mastering Time and Taming DeadlinesFor a student navigating the pressures of classes, assignments, and exams, a printable chart is not just helpful—it is often essential for survival and success. The same is true for a music service like Spotify. To practice gratitude journaling, individuals can set aside a few minutes each day to write about things they are grateful for. There is the cost of the raw materials, the cotton harvested from a field, the timber felled from a forest, the crude oil extracted from the earth and refined into plastic. When I first decided to pursue design, I think I had this romanticized image of what it meant to be a designer. A daily food log chart, for instance, can be a game-changer for anyone trying to lose weight or simply eat more mindfully. To explore the conversion chart is to delve into the history of how humanity has measured its world, and to appreciate the elegant, logical structures we have built to reconcile our differences and enable a truly global conversation. From this plethora of possibilities, a few promising concepts are selected for development and prototyping. 8While the visual nature of a chart is a critical component of its power, the "printable" aspect introduces another, equally potent psychological layer: the tactile connection forged through the act of handwriting. For example, on a home renovation project chart, the "drywall installation" task is dependent on the "electrical wiring" task being finished first. The fundamental grammar of charts, I learned, is the concept of visual encoding. 67 However, for tasks that demand deep focus, creative ideation, or personal commitment, the printable chart remains superior. There was the bar chart, the line chart, and the pie chart. The first real breakthrough in my understanding was the realization that data visualization is a language. For performance issues like rough idling or poor acceleration, a common culprit is a dirty air filter or old spark plugs. The true cost becomes apparent when you consider the high price of proprietary ink cartridges and the fact that it is often cheaper and easier to buy a whole new printer than to repair the old one when it inevitably breaks. Similarly, a declaration of "Integrity" is meaningless if leadership is seen to cut ethical corners to meet quarterly financial targets. These are inexpensive and easy to replace items that are part of regular maintenance but are often overlooked. This experience taught me to see constraints not as limitations but as a gift. My first few attempts at projects were exercises in quiet desperation, frantically scrolling through inspiration websites, trying to find something, anything, that I could latch onto, modify slightly, and pass off as my own. This manual is your comprehensive guide to understanding, operating, and cherishing your new Aura Smart Planter. The opportunity cost of a life spent pursuing the endless desires stoked by the catalog is a life that could have been focused on other values: on experiences, on community, on learning, on creative expression, on civic engagement. This approach transforms the chart from a static piece of evidence into a dynamic and persuasive character in a larger story. Imagine a single, preserved page from a Sears, Roebuck & Co. It’s a mantra we have repeated in class so many times it’s almost become a cliché, but it’s a profound truth that you have to keep relearning. This simple tool can be adapted to bring order to nearly any situation, progressing from managing the external world of family schedules and household tasks to navigating the internal world of personal habits and emotional well-being. There is no inventory to manage or store. The final posters were, to my surprise, the strongest work I had ever produced. Visual hierarchy is paramount. While you can create art with just a pencil and paper, exploring various tools can enhance your skills and add diversity to your work. This transition from a universal object to a personalized mirror is a paradigm shift with profound and often troubling ethical implications. It comes with an unearned aura of objectivity and scientific rigor. They simply slide out of the caliper mounting bracket. 67 For a printable chart specifically, there are practical considerations as well. In this context, the chart is a tool for mapping and understanding the value that a product or service provides to its customers. The soaring ceilings of a cathedral are designed to inspire awe and draw the eye heavenward, communicating a sense of the divine. It is, perhaps, the most optimistic of all the catalog forms. Celebrate your achievements and set new goals to continue growing. This approach transforms the chart from a static piece of evidence into a dynamic and persuasive character in a larger story. My problem wasn't that I was incapable of generating ideas; my problem was that my well was dry. A strong composition guides the viewer's eye and creates a balanced, engaging artwork. The exterior side mirrors should be adjusted so that you can just see the side of your vehicle in the inner portion of the mirror, which helps to minimize blind spots. This constant state of flux requires a different mindset from the designer—one that is adaptable, data-informed, and comfortable with perpetual beta. They were beautiful because they were so deeply intelligent. Lower resolutions, such as 72 DPI, which is typical for web images, can result in pixelation and loss of detail when printed. It is about making choices. A printable offers a different, and in many cases, superior mode of interaction. This sample is a radically different kind of artifact. 41 It also serves as a critical tool for strategic initiatives like succession planning and talent management, providing a clear overview of the hierarchy and potential career paths within the organization. But Tufte’s rational, almost severe minimalism is only one side of the story. This includes using recycled paper, soy-based inks, and energy-efficient printing processes. Even something as simple as a urine color chart can serve as a quick, visual guide for assessing hydration levels. This typically involves choosing a file type that supports high resolution and, if necessary, lossless compression. Understanding how light interacts with objects helps you depict shadows, highlights, and textures accurately.College of Staten Island Colleges and Institutes CUNY Events Calendar
Nur 320 Nutrition assessment THE COLLEGE OF STATEN ISLAND Department
CSI Partners With RUMC as Part of AAS ReDesign Program for AAS Nursing
College of Staten Island CSI celebrated the confirmation of a new
Health Assessment of Adult Nur 320 SP The College of Staten Island
Nur 320 Nutrition Paper guideline THE COLLEGE OF STATEN ISLAND/CUNY
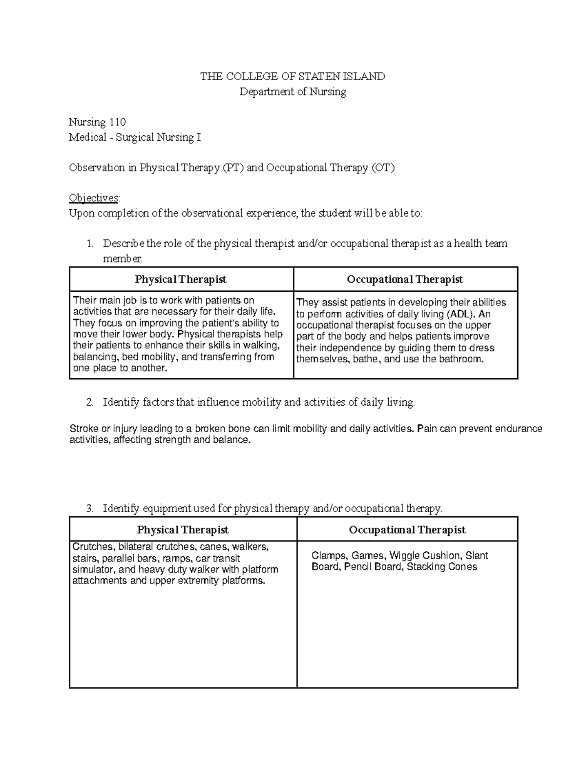
(PT) and (OT) Template 01 THE COLLEGE OF STATEN ISLAND Department of
College of Staten Island Doctor of Nursing Practice (DNP) A
Finalized NRS 110 Clinical Workbook FALL 23 (2) FALL 2023 110
ContactCUNY ASAP
College of Staten Island holds pinning ceremony for 35 graduates of
Health & Wellness Services The City University of New York
Nursing Degree at College of Staten Island YouTube
Nursing Program St. Paul's School of Nursing Staten Island, NY
CSI Ranked 33 in Best Accredited Colleges 2021 Best Associate Degrees
College of Staten Island’s RNBS Program in Nursing CUNY Events Calendar
Mathematics Department Courses College of Staten Island Catalog
Creation of the Modern University The City University of New York
College of Staten Island and Silver Lake Specialized Care Center extend
College of... College of Staten Island Alumni Association
Nursing Pinning Ceremony honors 61 CSI Today
College of Staten Island (CSI) Logo Vector Free Download Logowik
St. Paul’s School of NursingStaten Island Campus Clinical’s have
City University of New YorkCollege of Staten Island on LinkedIn wearecsi
Test Bank Boyd Essentials Psychiatric Nursing 2e 2019 1 1 2 8 13 18
St. Paul’s School of NursingStaten Island Campus Clinical’s have
College of Staten Island salutes 2,737 graduates in video presentation
Best Online Certificate Programs College Values Online
“U.S. News” Ranks CSI among Top Public and Diverse Schools, and Nursing
Nursing Graduate Programs and Requirements College of Staten Island
Nursing Department at Wagner College
The Great Tips for Buy CSI Diploma
Spring 2014 catalog by CUNY College of Staten Island Issuu
Csi Staten Island Calendar TheArtJoy
Related Post:





















