Calculus Multivariable Catalog Of Surfaces
Calculus Multivariable Catalog Of Surfaces - The product image is a tiny, blurry JPEG. " He invented several new types of charts specifically for this purpose. During both World Wars, knitting became a patriotic duty, with civilians knitting socks, scarves, and other items for soldiers on the front lines. Pinterest is, quite literally, a platform for users to create and share their own visual catalogs of ideas, products, and aspirations. The canvas is dynamic, interactive, and connected. 39 This type of chart provides a visual vocabulary for emotions, helping individuals to identify, communicate, and ultimately regulate their feelings more effectively. The catalog you see is created for you, and you alone. This involves making a conscious choice in the ongoing debate between analog and digital tools, mastering the basic principles of good design, and knowing where to find the resources to bring your chart to life. Practice by drawing cubes, spheres, and cylinders. The system will then process your request and display the results. 34Beyond the academic sphere, the printable chart serves as a powerful architect for personal development, providing a tangible framework for building a better self. It’s the understanding that the power to shape perception and influence behavior is a serious responsibility, and it must be wielded with care, conscience, and a deep sense of humility. By providing a pre-defined structure, the template offers a clear path forward. Each chart builds on the last, constructing a narrative piece by piece. It is the invisible architecture that allows a brand to speak with a clear and consistent voice across a thousand different touchpoints. It is the pattern that precedes the pattern, the structure that gives shape to substance. A comprehensive student planner chart can integrate not only study times but also assignment due dates, exam schedules, and extracurricular activities, acting as a central command center for a student's entire academic life. 67 However, for tasks that demand deep focus, creative ideation, or personal commitment, the printable chart remains superior. We had a "shopping cart," a skeuomorphic nod to the real world, but the experience felt nothing like real shopping. It is a mirror. The catalog becomes a fluid, contextual, and multi-sensory service, a layer of information and possibility that is seamlessly integrated into our lives. 46 By mapping out meals for the week, one can create a targeted grocery list, ensure a balanced intake of nutrients, and eliminate the daily stress of deciding what to cook. Artists and designers can create immersive environments where patterns interact with users in real-time, offering dynamic and personalized experiences. The chart was born as a tool of economic and political argument. It is no longer a simple statement of value, but a complex and often misleading clue. It’s an acronym that stands for Substitute, Combine, Adapt, Modify, Put to another use, Eliminate, and Reverse. A printable chart is a tangible anchor in a digital sea, a low-tech antidote to the cognitive fatigue that defines much of our daily lives. Without the distraction of color, viewers are invited to focus on the essence of the subject matter, whether it's a portrait, landscape, or still life. 73 While you generally cannot scale a chart directly in the print settings, you can adjust its size on the worksheet before printing to ensure it fits the page as desired. The more I learn about this seemingly simple object, the more I am convinced of its boundless complexity and its indispensable role in our quest to understand the world and our place within it. Check the simple things first. The system could be gamed. This resilience, this ability to hold ideas loosely and to see the entire process as a journey of refinement rather than a single moment of genius, is what separates the amateur from the professional. The product image is a tiny, blurry JPEG. Whether it's natural light from the sun or artificial light from a lamp, the light source affects how shadows and highlights fall on your subject. It is a negative space that, when filled with raw material, produces a perfectly formed, identical object every single time. John Snow’s famous map of the 1854 cholera outbreak in London was another pivotal moment. It was a slow, frustrating, and often untrustworthy affair, a pale shadow of the rich, sensory experience of its paper-and-ink parent. When applied to personal health and fitness, a printable chart becomes a tangible guide for achieving wellness goals. In education, drawing is a valuable tool for fostering creativity, critical thinking, and problem-solving skills in students of all ages. They are pushed, pulled, questioned, and broken. 20 This small "win" provides a satisfying burst of dopamine, which biochemically reinforces the behavior, making you more likely to complete the next task to experience that rewarding feeling again. The next leap was the 360-degree view, allowing the user to click and drag to rotate the product as if it were floating in front of them. This has led to the rise of curated subscription boxes, where a stylist or an expert in a field like coffee or books will hand-pick a selection of items for you each month. To be a responsible designer of charts is to be acutely aware of these potential pitfalls. A thin, black band then shows the catastrophic retreat, its width dwindling to almost nothing as it crosses the same path in reverse. The tactile nature of a printable chart also confers distinct cognitive benefits. The initial spark, that exciting little "what if," is just a seed. You don’t notice the small, daily deposits, but over time, you build a wealth of creative capital that you can draw upon when you most need it. Journaling in the Digital Age Feedback from other artists and viewers can provide valuable insights and help you improve your work. It was a tool designed for creating static images, and so much of early web design looked like a static print layout that had been put online. It begins with defining the overall objective and then identifying all the individual tasks and subtasks required to achieve it. Every single person who received the IKEA catalog in 2005 received the exact same object. Additionally, journaling can help individuals break down larger goals into smaller, manageable tasks, making the path to success less daunting. People initially printed documents, letters, and basic recipes. The instrument panel of your Aeris Endeavour is your primary source of information about the vehicle's status and performance. They established a foundational principle that all charts follow: the encoding of data into visual attributes, where position on a two-dimensional surface corresponds to a position in the real or conceptual world. It could be searched, sorted, and filtered. The world of the printable is immense, encompassing everything from a simple to-do list to a complex architectural blueprint, yet every printable item shares this fundamental characteristic: it is designed to be born into the physical world. The template contained a complete set of pre-designed and named typographic styles. Let us now delve into one of the most common repair jobs you will likely face: replacing the front brake pads and rotors. A flowchart visually maps the sequential steps of a process, using standardized symbols to represent actions, decisions, inputs, and outputs. A good interactive visualization might start with a high-level overview of the entire dataset. In the midst of the Crimean War, she wasn't just tending to soldiers; she was collecting data. 59The Analog Advantage: Why Paper Still MattersIn an era dominated by digital apps and cloud-based solutions, the choice to use a paper-based, printable chart is a deliberate one. These schematics are the definitive guide for tracing circuits and diagnosing connectivity issues. This was more than just an inventory; it was an attempt to create a map of all human knowledge, a structured interface to a world of ideas. Sometimes that might be a simple, elegant sparkline. 33 Before you even begin, it is crucial to set a clear, SMART (Specific, Measurable, Attainable, Relevant, Timely) goal, as this will guide the entire structure of your workout chart. Furthermore, a website theme is not a template for a single page, but a system of interconnected templates for all the different types of pages a website might need. It is an act of generosity, a gift to future designers and collaborators, providing them with a solid foundation upon which to build. Your Aeris Endeavour is equipped with a suite of advanced safety features and driver-assistance systems designed to protect you and your passengers. It is an idea that has existed for as long as there has been a need to produce consistent visual communication at scale. Bleed all pressure from lines before disconnecting any fittings to avoid high-pressure fluid injection injuries. It is not a passive document waiting to be consulted; it is an active agent that uses a sophisticated arsenal of techniques—notifications, pop-ups, personalized emails, retargeting ads—to capture and hold our attention. To understand the transition, we must examine an ephemeral and now almost alien artifact: a digital sample, a screenshot of a product page from an e-commerce website circa 1999. And through that process of collaborative pressure, they are forged into something stronger. 48 This demonstrates the dual power of the chart in education: it is both a tool for managing the process of learning and a direct vehicle for the learning itself. The card catalog, like the commercial catalog that would follow and perfect its methods, was a tool for making a vast and overwhelming collection legible, navigable, and accessible. It is the bridge between the raw, chaotic world of data and the human mind’s innate desire for pattern, order, and understanding.SOLUTION Surface integrals ,calculus 3 multivariable calculus, class
What are Level Curves and Surfaces? (Multivariable Calculus) YouTube
(PDF) Visualization in multivariable calculus The case of 3Dsurfaces
Surface Area with a Surface Integral, Multivariable Calculus YouTube
SOLUTION Parametric surfaces , multivariable calculus, class notes
SOLUTION Multivariable calculus Studypool
Multivariable Calculus Ex 13.1 Ex 5764 How to Sketch and Describe
Multivariable Calculus Surface Area Formula and Calculation YouTube
Multivariable Calculus
Multivariable Calculus Surface Integrals of Scalar Functions example
Multivariable Calculus Graphs
Multivariable Calculus Concepts Poster r/math
Multivariable Calculus Calculating Surface Integrals YouTube
Parametric surfaces r(u,v), Multivariable Calculus YouTube
PPT MATH23 MULTIVARIABLE CALCULUS PowerPoint Presentation, free
multivariable calculus Difficulty visualising surfaces and
Surface Integral Multivariable Calculus Integral
Advanced Calculus for Data Science A Complete Guide EmiTechLogic
Multivariable calculus 1.1.8 Area of surface of revolution of a
Multivariable Calculus Surface Integrals YouTube
Multivariable Calculus Graphs
A Catalog of Common Surfaces
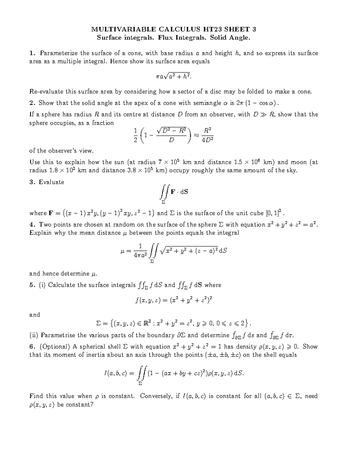
Sheet 3 MULTIVARIABLE CALCULUS HT23 SHEET 3 Surface integrals. Flux
Multivariable Calculus Lecture Parameterize Intersection Of Two
Multivariable Calculus Surface Integrals of Scalar Functions YouTube
Example computing surface area with a surface integral, Multivariable
Calculus IV 39 Surface Integrals of Multivariable Functions YouTube
Understanding the basic surfaces Math, Calculus, Surfaces ShowMe
Scalar surface integrals, Multivariable Calculus YouTube
Multivariable Calculus Surface Integral Fromula and Calculation YouTube
[Multivariable Calculus] Cross Sections of Quadric Surfaces YouTube
Quadric Surfaces · Calculus
Multivariable calculus 4.5.9 Summary of integrals over curves and
Multivariable Calculus Ex 13.1 Qs 5156 What are Level Curves, How
PPT MATH23 MULTIVARIABLE CALCULUS PowerPoint Presentation, free
Related Post:



























![[Multivariable Calculus] Cross Sections of Quadric Surfaces YouTube](https://i.ytimg.com/vi/IXuu7szVnN8/maxresdefault.jpg)



