Biology Ucf Catalog
Biology Ucf Catalog - Before I started my studies, I thought constraints were the enemy of creativity. To achieve this seamless interaction, design employs a rich and complex language of communication. The interior of your vehicle also requires regular attention. Now, let us jump forward in time and examine a very different kind of digital sample. A great template is not merely a document with some empty spaces; it is a carefully considered system designed to guide the user toward a successful outcome. 64 This is because handwriting is a more complex motor and cognitive task, forcing a slower and more deliberate engagement with the information being recorded. It was a way to strip away the subjective and ornamental and to present information with absolute clarity and order. Parallel to this evolution in navigation was a revolution in presentation. Users can simply select a template, customize it with their own data, and use drag-and-drop functionality to adjust colors, fonts, and other design elements to fit their specific needs. This object, born of necessity, was not merely found; it was conceived. In this extensive exploration, we delve into the origins of crochet, its evolution over the centuries, the techniques and tools involved, the myriad forms it takes today, and its profound impact on both the individual and the community. His stem-and-leaf plot was a clever, hand-drawable method that showed the shape of a distribution while still retaining the actual numerical values. The template is a distillation of experience and best practices, a reusable solution that liberates the user from the paralysis of the blank page and allows them to focus their energy on the unique and substantive aspects of their work. It is a masterpiece of information density and narrative power, a chart that functions as history, as data analysis, and as a profound anti-war statement. The physical act of writing on the chart engages the generation effect and haptic memory systems, forging a deeper, more personal connection to the information that viewing a screen cannot replicate. I had to choose a primary typeface for headlines and a secondary typeface for body copy. 26The versatility of the printable health chart extends to managing specific health conditions and monitoring vital signs. We can see that one bar is longer than another almost instantaneously, without conscious thought. With the stroke of a pencil or the swipe of a stylus, artists breathe life into their creations, weaving together lines, shapes, and colors to convey stories, evoke emotions, and capture moments frozen in time. Do not open the radiator cap when the engine is hot, as pressurized steam and scalding fluid can cause serious injury. The rise of business intelligence dashboards, for example, has revolutionized management by presenting a collection of charts and key performance indicators on a single screen, providing a real-time overview of an organization's health. The creator of a resume template has already researched the conventions of professional resumes, considering font choices, layout, and essential sections. " It is, on the surface, a simple sales tool, a brightly coloured piece of commercial ephemera designed to be obsolete by the first week of the new year. 49 This guiding purpose will inform all subsequent design choices, from the type of chart selected to the way data is presented. The template, by contrast, felt like an admission of failure. Understanding this grammar gave me a new kind of power. We are paying with a constant stream of information about our desires, our habits, our social connections, and our identities. Artists are encouraged to embrace imperfections, accidents, and impermanence, recognizing that they are an integral part of the creative journey. Adult coloring has become a popular mindfulness activity. We are sincerely pleased you have selected the Toyota Ascentia, a vehicle that represents our unwavering commitment to quality, durability, and reliability. A well-designed chart leverages these attributes to allow the viewer to see trends, patterns, and outliers that would be completely invisible in a spreadsheet full of numbers. AI algorithms can generate patterns that are both innovative and unpredictable, pushing the boundaries of traditional design. The myth of the lone genius who disappears for a month and emerges with a perfect, fully-formed masterpiece is just that—a myth. Customers began uploading their own photos in their reviews, showing the product not in a sterile photo studio, but in their own messy, authentic lives. The template contained a complete set of pre-designed and named typographic styles. For the optimization of operational workflows, the flowchart stands as an essential type of printable chart. There is also the cost of the idea itself, the intellectual property. By embracing spontaneity, experimentation, and imperfection, artists can unleash their imagination and create artworks that are truly unique and personal. A mechanical engineer can design a new part, create a 3D printable file, and produce a functional prototype in a matter of hours, drastically accelerating the innovation cycle. We have seen how it leverages our brain's preference for visual information, how the physical act of writing on a chart forges a stronger connection to our goals, and how the simple act of tracking progress on a chart can create a motivating feedback loop. The underlying principle, however, remains entirely unchanged. This Owner's Manual was prepared to help you understand your vehicle’s controls and safety systems, and to provide you with important maintenance information. 58 Although it may seem like a tool reserved for the corporate world, a simplified version of a Gantt chart can be an incredibly powerful printable chart for managing personal projects, such as planning a wedding, renovating a room, or even training for a marathon. Connect the battery to the logic board, then reconnect the screen cables. Every piece of negative feedback is a gift. He wrote that he was creating a "universal language" that could be understood by anyone, a way of "speaking to the eyes. Instead, there are vast, dense tables of technical specifications: material, thread count, tensile strength, temperature tolerance, part numbers. You do not have to wait for a product to be shipped. Every search query, every click, every abandoned cart was a piece of data, a breadcrumb of desire. Disconnecting the battery should be one of your first steps for almost any repair to prevent accidental short circuits, which can fry sensitive electronics or, in a worst-case scenario, cause a fire. The page is constructed from a series of modules or components—a module for "Products Recommended for You," a module for "New Arrivals," a module for "Because you watched. It creates a quiet, single-tasking environment free from the pings, pop-ups, and temptations of a digital device, allowing for the kind of deep, uninterrupted concentration that is essential for complex problem-solving and meaningful work. A classic print catalog was a finite and curated object. This is a messy, iterative process of discovery. Lane Departure Warning helps ensure you only change lanes when you mean to. Customers began uploading their own photos in their reviews, showing the product not in a sterile photo studio, but in their own messy, authentic lives. Search engine optimization on platforms like Etsy is also vital. Printable flashcards are a classic and effective tool for memorization, from learning the alphabet to mastering scientific vocabulary. However, the organizational value chart is also fraught with peril and is often the subject of deep cynicism. The Maori people of New Zealand use intricate patterns in their tattoos, known as moko, to convey identity and lineage. If the system determines that a frontal collision is likely, it prompts you to take action using audible and visual alerts. To be a responsible designer of charts is to be acutely aware of these potential pitfalls. The Aura Smart Planter should only be connected to a power source that matches the voltage specified on the device's rating label. This simple tool can be adapted to bring order to nearly any situation, progressing from managing the external world of family schedules and household tasks to navigating the internal world of personal habits and emotional well-being. If it detects a loss of control or a skid, it can reduce engine power and apply braking to individual wheels to help you stay on your intended path. The typography was not just a block of Lorem Ipsum set in a default font. It is a sample that reveals the profound shift from a one-to-many model of communication to a one-to-one model. This comprehensive exploration will delve into the professional application of the printable chart, examining the psychological principles that underpin its effectiveness, its diverse implementations in corporate and personal spheres, and the design tenets required to create a truly impactful chart that drives performance and understanding. This is not the place for shortcuts or carelessness. The main real estate is taken up by rows of products under headings like "Inspired by your browsing history," "Recommendations for you in Home & Kitchen," and "Customers who viewed this item also viewed. During the crit, a classmate casually remarked, "It's interesting how the negative space between those two elements looks like a face. The journey of the printable, from the first mechanically reproduced texts to the complex three-dimensional objects emerging from modern machines, is a story about the democratization of information, the persistence of the physical in a digital age, and the ever-expanding power of humanity to manifest its imagination. Let us examine a sample from this other world: a page from a McMaster-Carr industrial supply catalog. The evolution of this language has been profoundly shaped by our technological and social history. The hand-drawn, personal visualizations from the "Dear Data" project are beautiful because they are imperfect, because they reveal the hand of the creator, and because they communicate a sense of vulnerability and personal experience that a clean, computer-generated chart might lack. The hand-drawn, personal visualizations from the "Dear Data" project are beautiful because they are imperfect, because they reveal the hand of the creator, and because they communicate a sense of vulnerability and personal experience that a clean, computer-generated chart might lack. The arrival of the digital age has, of course, completely revolutionised the chart, transforming it from a static object on a printed page into a dynamic, interactive experience. The pressure in those first few months was immense. The rise of business intelligence dashboards, for example, has revolutionized management by presenting a collection of charts and key performance indicators on a single screen, providing a real-time overview of an organization's health. This brings us to the future, a future where the very concept of the online catalog is likely to transform once again.Transfer Student Resources Accounting College of Business
Fillable Online sciences ucf Biology Degree Fax Email Print pdfFiller
Molecular and Cellular Biology (BS) Degree UCF Orlando, FL
Biology (BS) PreHealth Professional Track Degree UCF Orlando, FL
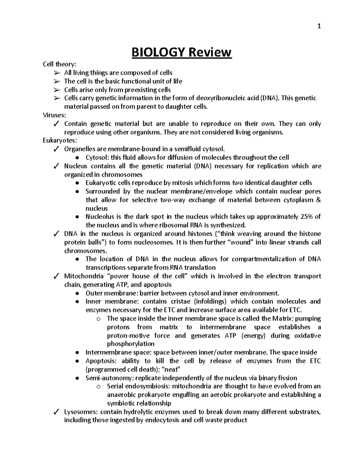
UCF Biology, and 1 BIOLOGY Review Cell theory
Molecular and Cellular Biology (BS) Degree UCF Orlando, FL
UCF Degree Programs Undergraduate Catalog
UCF Biology Building Renovation UCF Planning, Design and Construction
Molecular and Cellular Biology (BS) Degree UCF Orlando, FL
UCF Research Guides Molecular biology, Ucf, Molecular
Molecular and Cellular Biology (BS) Degree UCF Orlando, FL
UCF Medical Laboratory Sciences (B.S.) Program Guide
NSF REU at UCF Biology (UCFBioREU) Twitter
UCF Health Sciences PreClinical Track (B.S.) Program Guide
Biology (BS) General Biology Track Degree UCF Orlando, FL
Undergraduate Catalog University of Central Florida
Biology (MS) Degree UCF Orlando, FL
UCF Degree Programs Undergraduate Catalog
UCF Biological Sciences Addition and Renovation WhartonSmith Inc.
UCF Degree Programs Undergraduate Catalog
Program Biology Cellular, Molecular Biology, and
Biology Degree University of Central Florida
Introduction to Biology II (Custom Edition for UCF) (Campbell Biology
UCF Degree Programs Undergraduate Catalog
UCF Degree Programs Undergraduate Catalog
Molecular and Cellular Biology (BS) Degree UCF Orlando, FL
UCF Degree Programs Undergraduate Catalog University of
Biology (BS) General Biology Track Degree UCF Orlando, FL
UCF Degree Programs Undergraduate Catalog
Campbell biology 11th edition r/ucf
UCF Biology Building Renovation UCF Planning, Design and Construction
UCF Degree Programs Undergraduate Catalog
UCF Degree Programs Undergraduate Catalog
Degree Programs Florida International University Department of
Molecular and Cellular Biology (BS) Degree UCF Orlando, FL
Related Post:





























