Bioe 172 Scu Course Catalog
Bioe 172 Scu Course Catalog - It begins with a problem, a need, a message, or a goal that belongs to someone else. The benefits of a well-maintained organizational chart extend to all levels of a company. The evolution of the template took its most significant leap with the transition from print to the web. 28The Nutrition and Wellness Chart: Fueling Your BodyPhysical fitness is about more than just exercise; it encompasses nutrition, hydration, and overall wellness. They were pages from the paper ghost, digitized and pinned to a screen. The Bauhaus school in Germany, perhaps the single most influential design institution in history, sought to reunify art, craft, and industry. This constant state of flux requires a different mindset from the designer—one that is adaptable, data-informed, and comfortable with perpetual beta. It’s a specialized skill, a form of design that is less about flashy visuals and more about structure, logic, and governance. How does the brand write? Is the copy witty and irreverent? Or is it formal, authoritative, and serious? Is it warm and friendly, or cool and aspirational? We had to write sample copy for different contexts—a website homepage, an error message, a social media post—to demonstrate this voice in action. It can create a false sense of urgency with messages like "Only 2 left in stock!" or "15 other people are looking at this item right now!" The personalized catalog is not a neutral servant; it is an active and sophisticated agent of persuasion, armed with an intimate knowledge of your personal psychology. I used to believe that an idea had to be fully formed in my head before I could start making anything. The act of creating a value chart is an act of deliberate inquiry. The layout will be clean and uncluttered, with clear typography that is easy to read. A design system is essentially a dynamic, interactive, and code-based version of a brand manual. An effective chart is one that is designed to work with your brain's natural tendencies, making information as easy as possible to interpret and act upon. Pre-Collision Assist with Automatic Emergency Braking is a key feature of this suite. The online catalog is the current apotheosis of this quest. How does a user "move through" the information architecture? What is the "emotional lighting" of the user interface? Is it bright and open, or is it focused and intimate? Cognitive psychology has been a complete treasure trove. Digital applications excel at tasks requiring collaboration, automated reminders, and the management of vast amounts of information, such as shared calendars or complex project management software. 55 A well-designed org chart clarifies channels of communication, streamlines decision-making workflows, and is an invaluable tool for onboarding new employees, helping them quickly understand the company's landscape. This guide is built on shared experience, trial and error, and a collective passion for keeping these incredible vehicles on the road without breaking the bank. My initial resistance to the template was rooted in a fundamental misunderstanding of what it actually is. While no money changes hands for the file itself, the user invariably incurs costs. The critical distinction lies in whether the chart is a true reflection of the organization's lived reality or merely aspirational marketing. Instead of struggling with layout, formatting, and ensuring all necessary legal and financial fields are included, they can download a printable invoice template. To engage with it, to steal from it, and to build upon it, is to participate in a conversation that spans generations. Online templates have had a transformative impact across multiple sectors, enhancing productivity and creativity. 62 This chart visually represents every step in a workflow, allowing businesses to analyze, standardize, and improve their operations by identifying bottlenecks, redundancies, and inefficiencies. It recognized that most people do not have the spatial imagination to see how a single object will fit into their lives; they need to be shown. The "value proposition canvas," a popular strategic tool, is a perfect example of this. 52 This type of chart integrates not only study times but also assignment due dates, exam schedules, extracurricular activities, and personal appointments. 74 The typography used on a printable chart is also critical for readability. From a simple blank grid on a piece of paper to a sophisticated reward system for motivating children, the variety of the printable chart is vast, hinting at its incredible versatility. However, within this simplicity lies a vast array of possibilities. By using a printable chart in this way, you are creating a structured framework for personal growth. This would transform the act of shopping from a simple economic transaction into a profound ethical choice. A good search experience feels like magic. A weekly meal planning chart not only helps with nutritional goals but also simplifies grocery shopping and reduces the stress of last-minute meal decisions. 24The true, unique power of a printable chart is not found in any single one of these psychological principles, but in their synergistic combination. The reality of both design education and professional practice is that it’s an intensely collaborative sport. 54 By adopting a minimalist approach and removing extraneous visual noise, the resulting chart becomes cleaner, more professional, and allows the data to be interpreted more quickly and accurately. The windshield washer fluid reservoir should be kept full to ensure clear visibility at all times. He wrote that he was creating a "universal language" that could be understood by anyone, a way of "speaking to the eyes. This practice is often slow and yields no immediate results, but it’s like depositing money in a bank. Pattern recognition algorithms are employed in various applications, including image and speech recognition, enabling technologies such as facial recognition and voice-activated assistants. Alongside this broad consumption of culture is the practice of active observation, which is something entirely different from just looking. A heat gun set to a low temperature, or a heating pad, should be used to gently warm the edges of the screen for approximately one to two minutes. 33 Before you even begin, it is crucial to set a clear, SMART (Specific, Measurable, Attainable, Relevant, Timely) goal, as this will guide the entire structure of your workout chart. Check the integrity and tension of the axis drive belts and the condition of the ball screw support bearings. The price we pay is not monetary; it is personal. It is selling not just a chair, but an entire philosophy of living: a life that is rational, functional, honest in its use of materials, and free from the sentimental clutter of the past. They can walk around it, check its dimensions, and see how its color complements their walls. To explore the conversion chart is to delve into the history of how humanity has measured its world, and to appreciate the elegant, logical structures we have built to reconcile our differences and enable a truly global conversation. These adhesive strips have small, black pull-tabs at the top edge of the battery. The ongoing task, for both the professional designer and for every person who seeks to improve their corner of the world, is to ensure that the reflection we create is one of intelligence, compassion, responsibility, and enduring beauty. I couldn't rely on my usual tricks—a cool photograph, an interesting font pairing, a complex color palette. It's the architecture that supports the beautiful interior design. The illustrations are often not photographs but detailed, romantic botanical drawings that hearken back to an earlier, pre-industrial era. This simple failure of conversion, the lack of a metaphorical chart in the software's logic, caused the spacecraft to enter the Martian atmosphere at the wrong trajectory, leading to its complete destruction. Take note of how they were installed and where any retaining clips are positioned. We are moving towards a world of immersive analytics, where data is not confined to a flat screen but can be explored in three-dimensional augmented or virtual reality environments. Before InDesign, there were physical paste-up boards, with blue lines printed on them that wouldn't show up on camera, marking out the columns and margins for the paste-up artist. The universe of available goods must be broken down, sorted, and categorized. Before a single product can be photographed or a single line of copy can be written, a system must be imposed. The more I learn about this seemingly simple object, the more I am convinced of its boundless complexity and its indispensable role in our quest to understand the world and our place within it. This architectural thinking also has to be grounded in the practical realities of the business, which brings me to all the "boring" stuff that my romanticized vision of being a designer completely ignored. It presents a pre-computed answer, transforming a mathematical problem into a simple act of finding and reading. The title, tags, and description must be optimized. If the catalog is only ever showing us things it already knows we will like, does it limit our ability to discover something genuinely new and unexpected? We risk being trapped in a self-reinforcing loop of our own tastes, our world of choice paradoxically shrinking as the algorithm gets better at predicting what we want. In addition to its mental health benefits, knitting has also been shown to have positive effects on physical health. The "disadvantages" of a paper chart are often its greatest features in disguise. You do not need a professional-grade workshop to perform the vast majority of repairs on your OmniDrive. And, crucially, there is the cost of the human labor involved at every single stage. It starts with understanding human needs, frustrations, limitations, and aspirations. 37 A more advanced personal development chart can evolve into a tool for deep self-reflection, with sections to identify personal strengths, acknowledge areas for improvement, and formulate self-coaching strategies. 6 When you write something down, your brain assigns it greater importance, making it more likely to be remembered and acted upon. Communication with stakeholders is a critical skill. It is in this vast spectrum of choice and consequence that the discipline finds its depth and its power. It has to be focused, curated, and designed to guide the viewer to the key insight. People use these printables to manage their personal finances effectively.Bio 172 exam 3 review Bio 172 Exam 3 Review Lectures 20 Lecture 20
University Courses Catalog Template, Print Templates GraphicRiver
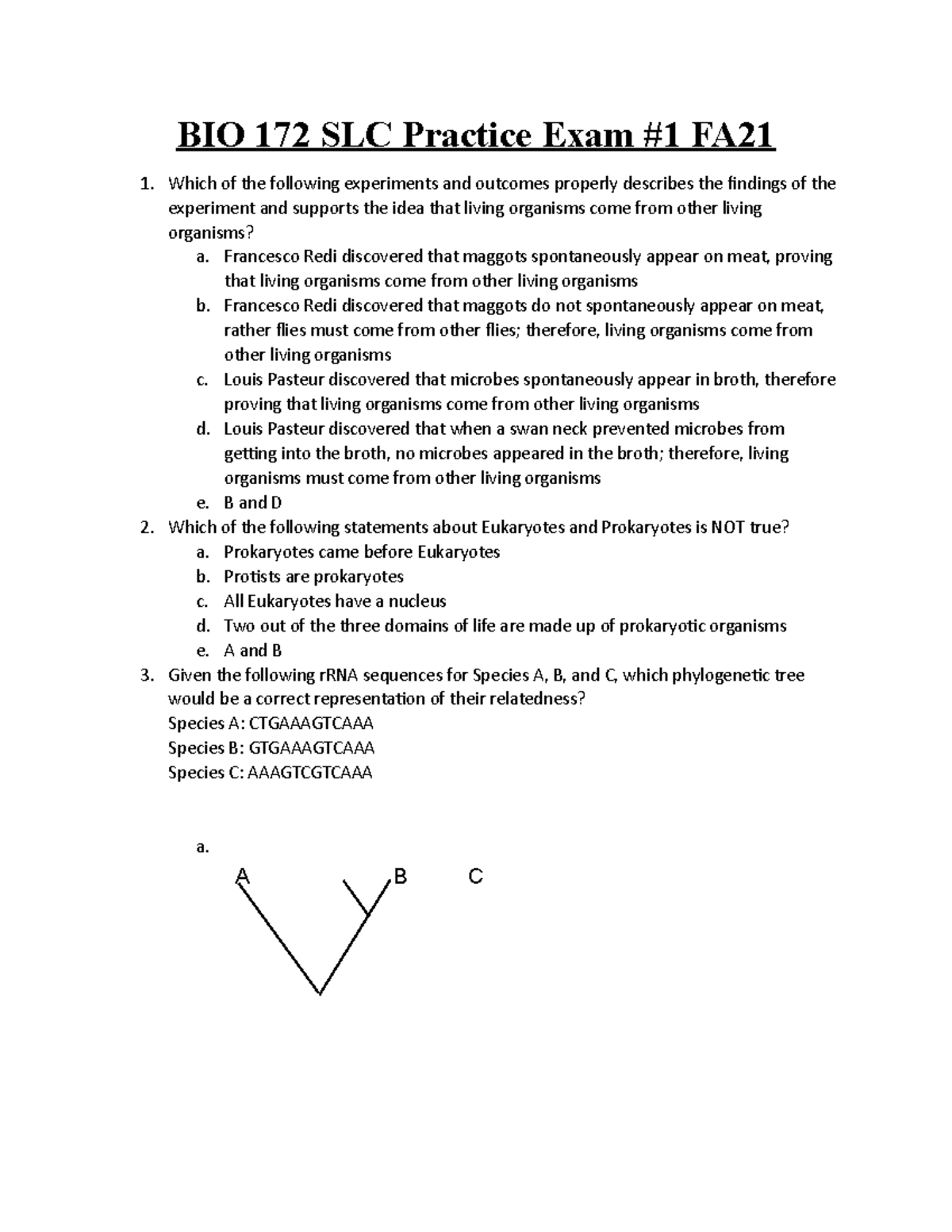
BIO 172 EXAM 3 Lecture notes All lectures tested on Exam 3 BIO 172
Course Catalog Template
BIO 172 UH Manoa Exam 2 With Complete Solutions Latest Update BIO 172
Bio 172 Final Study Guide (Chapman Csankovski) Bio Final Study Guide
Bio 172 Exam 1 Study Guide Bio 172 Exam 1 Study Guide Intro & Scope
BIO172Fall2022 Assigned readings 3rd ed Biology 172 Fall 2022
Key Eukaryotic Gene Regulation Part 2 Bio 172 SLC Group Eukaryotic
Bio 172 Exam 2 Questions and Answers 100 Pass Bio 172 Stuvia US
Bio 172 EXAM 2 Study Guide EXAM 2 STUDY GUIDE Metabolism entire
Bio 172 unit 4 notes Bio 172 Unit 4 notes Cell Cycle Tightly
Course Offerings
Lecture 1 Course Intro Biology 172 Introductory Biology Topics
Endocrine System Overview and Functions BIO 172 Exam Notes
BIOE WEEK 2 Transes bioe 1 BIOE LECTURE / WEEK 2 / PPTBASED Studocu
Bio 172 Practice Exam Great for Notes BIO 172 SLC Practice Exam 1
BIO 172 Exam 3 Curtis Daehler UH Manoa Exam Questions And Answers
Bio 172 Exam 3 Study Guide Bio Exam III Study Guide I. DNA
Training Catalog Template
Bio 172 unit 3 Unit 3 notes from lecture Lecture 16 Bond polarity
Bio 172 Chapter 7 Notes Chapter 7 Cellular Respiration a series of
BIO 172 Exam 5 (Urinary) with verified answers BIO 172 Stuvia US
ABG sheets BIO 172 Studocu
BIO 172 Pre Questions with Complete Correct Answers Grade A+ Bio
Bio 172 Exam 2 with verified solutions BIO 172 Stuvia US
Lecture note 3 Protein bio 172 Bio 172 lecture 3 proteins! IMPORTANT
Bio test 1 review sheet Bio172 Studocu
Lecture Notes on Scientific Method Concepts in BIO 172 Studocu
BIOLOGY 172 POST TRANSCRIPTIONAL REGULATION LECTURE NOTES 8 () SERIES
PPT Rice Bioengineer PowerPoint Presentation, free download ID4182521
Bio 172 Midterm 1 Study Guide Diagram Quizlet
Discussion 3 Free Energy Sp'24 Bio 172 Free Energy PART 1 Consider
Full Course Catalog List by edynamiclearning Issuu
Course Catalog
Related Post:














