Bio Eng 100 Berkeley Course Catalog
Bio Eng 100 Berkeley Course Catalog - 39 An effective study chart involves strategically dividing days into manageable time blocks, allocating specific periods for each subject, and crucially, scheduling breaks to prevent burnout. They are the masters of this craft. It's the difference between building a beautiful bridge in the middle of a forest and building a sturdy, accessible bridge right where people actually need to cross a river. Position the wheel so that your arms are slightly bent when holding it, and ensure that your view of the instrument cluster is unobstructed. The digital template, in all these forms, has become an indispensable productivity aid, a testament to the power of a good template. Your Aeris Endeavour is equipped with a suite of advanced safety features and driver-assistance systems designed to protect you and your passengers. 55 The use of a printable chart in education also extends to being a direct learning aid. It can create a false sense of urgency with messages like "Only 2 left in stock!" or "15 other people are looking at this item right now!" The personalized catalog is not a neutral servant; it is an active and sophisticated agent of persuasion, armed with an intimate knowledge of your personal psychology. The transformation is immediate and profound. If they are dim or do not come on, it is almost certainly a battery or connection issue. Remove the bolts securing the top plate, and using a soft mallet, gently tap the sides to break the seal. In literature and filmmaking, narrative archetypes like the "Hero's Journey" function as a powerful story template. We stress the importance of using only genuine Titan Industrial replacement parts for all repairs to guarantee compatibility, performance, and safety. From that day on, my entire approach changed. One of the most frustrating but necessary parts of the idea generation process is learning to trust in the power of incubation. When a vehicle is detected in your blind spot area, an indicator light will illuminate in the corresponding side mirror. They can filter the data, hover over points to get more detail, and drill down into different levels of granularity. Beyond these core visual elements, the project pushed us to think about the brand in a more holistic sense. It would need to include a measure of the well-being of the people who made the product. This is the ultimate evolution of the template, from a rigid grid on a printed page to a fluid, personalized, and invisible system that shapes our digital lives in ways we are only just beginning to understand. They guide you through the data, step by step, revealing insights along the way, making even complex topics feel accessible and engaging. But a true professional is one who is willing to grapple with them. Turn on your emergency flashers immediately. The journey of the catalog, from a handwritten list on a clay tablet to a personalized, AI-driven, augmented reality experience, is a story about a fundamental human impulse. " "Do not rotate. History provides the context for our own ideas. The social media graphics were a riot of neon colors and bubbly illustrations. This was more than just an inventory; it was an attempt to create a map of all human knowledge, a structured interface to a world of ideas. Aspiring artists should not be afraid to step outside their comfort zones and try new techniques, mediums, and subjects. When applied to personal health and fitness, a printable chart becomes a tangible guide for achieving wellness goals. Printable maps and diagrams are useful for geography and science. Sellers create pins that showcase their products in attractive settings. Designers like Josef Müller-Brockmann championed the grid as a tool for creating objective, functional, and universally comprehensible communication. Beyond the ethical and functional dimensions, there is also a profound aesthetic dimension to the chart. These documents are the visible tip of an iceberg of strategic thinking. He argued that this visual method was superior because it provided a more holistic and memorable impression of the data than any table could. There is a very specific procedure for connecting the jumper cables that must be followed precisely to avoid sparks and potential damage to your vehicle's electrical components. By connecting the points for a single item, a unique shape or "footprint" is created, allowing for a holistic visual comparison of the overall profiles of different options. A print template is designed for a static, finite medium with a fixed page size. This renewed appreciation for the human touch suggests that the future of the online catalog is not a battle between human and algorithm, but a synthesis of the two. Through trial and error, artists learn to embrace imperfection as a source of beauty and authenticity, celebrating the unique quirks and idiosyncrasies that make each artwork one-of-a-kind. So whether you're a seasoned artist or a curious beginner, why not pick up a pencil or a pen and explore the beauty of black and white drawing for yourself? Another essential aspect of learning to draw is experimentation and exploration. We covered the process of initiating the download and saving the file to your computer. A printable chart is an excellent tool for managing these other critical aspects of your health. The page is constructed from a series of modules or components—a module for "Products Recommended for You," a module for "New Arrivals," a module for "Because you watched. 18 This is so powerful that many people admit to writing down a task they've already completed just for the satisfaction of crossing it off the list, a testament to the brain's craving for this sense of closure and reward. The satisfaction derived from checking a box, coloring a square, or placing a sticker on a progress chart is directly linked to the release of dopamine, a neurotransmitter associated with pleasure and motivation. Digital planners are a massive segment of this market. Printable flashcards are a classic and effective tool for memorization, from learning the alphabet to mastering scientific vocabulary. In the final analysis, the free printable represents a remarkable and multifaceted cultural artifact of our time. Today, the spirit of these classic print manuals is more alive than ever, but it has evolved to meet the demands of the digital age. A good chart idea can clarify complexity, reveal hidden truths, persuade the skeptical, and inspire action. It is a translation from one symbolic language, numbers, to another, pictures. Each pod contains a small, pre-embedded seed of a popular herb or vegetable to get you started. It has become the dominant organizational paradigm for almost all large collections of digital content. This would transform the act of shopping from a simple economic transaction into a profound ethical choice. Educators use drawing as a tool for teaching and learning, helping students to visualize concepts, express their ideas, and develop fine motor skills. It champions principles of durability, repairability, and the use of renewable resources. Market research is essential to understand what customers want. It had to be invented. This was a feature with absolutely no parallel in the print world. Once your pods are in place, the planter’s wicking system will begin to draw water up to the seeds, initiating the germination process. While traditional pen-and-paper journaling remains popular, digital journaling offers several advantages. A great template is not merely a document with some empty spaces; it is a carefully considered system designed to guide the user toward a successful outcome. Suddenly, graphic designers could sell their work directly to users. However, the complexity of the task it has to perform is an order of magnitude greater. A good designer understands these principles, either explicitly or intuitively, and uses them to construct a graphic that works with the natural tendencies of our brain, not against them. My initial reaction was dread. 58 Ultimately, an ethical chart serves to empower the viewer with a truthful understanding, making it a tool for clarification rather than deception. Dynamic Radar Cruise Control is an adaptive cruise control system that is designed to be used on the highway. When you can do absolutely anything, the sheer number of possibilities is so overwhelming that it’s almost impossible to make a decision. To further boost motivation, you can incorporate a fitness reward chart, where you color in a space or add a sticker for each workout you complete, linking your effort to a tangible sense of accomplishment and celebrating your consistency. A good designer understands these principles, either explicitly or intuitively, and uses them to construct a graphic that works with the natural tendencies of our brain, not against them. In a world defined by its diversity, the conversion chart is a humble but powerful force for unity, ensuring that a kilogram of rice, a liter of fuel, or a meter of cloth can be understood, quantified, and trusted, everywhere and by everyone. 43 For a new hire, this chart is an invaluable resource, helping them to quickly understand the company's landscape, put names to faces and titles, and figure out who to contact for specific issues. The reassembly process is the reverse of this procedure, with critical attention paid to bolt torque specifications and the alignment of the cartridge within the headstock. The issue is far more likely to be a weak or dead battery. This rigorous process is the scaffold that supports creativity, ensuring that the final outcome is not merely a matter of taste or a happy accident, but a well-reasoned and validated response to a genuine need. 66While the fundamental structure of a chart—tracking progress against a standard—is universal, its specific application across these different domains reveals a remarkable adaptability to context-specific psychological needs. The very essence of what makes a document or an image a truly functional printable lies in its careful preparation for this journey from screen to paper.Biomedical Engineering Students’ Question Posing Skill Based on Reading
Biology Advising Information Department of Biology CSUSB
(Berkeley) BIO ENG C119 Orthopedic Biomechanics Midterm Exam Guide 2024
Iec Bio Eng PDF
Degree Programs Florida International University Department of
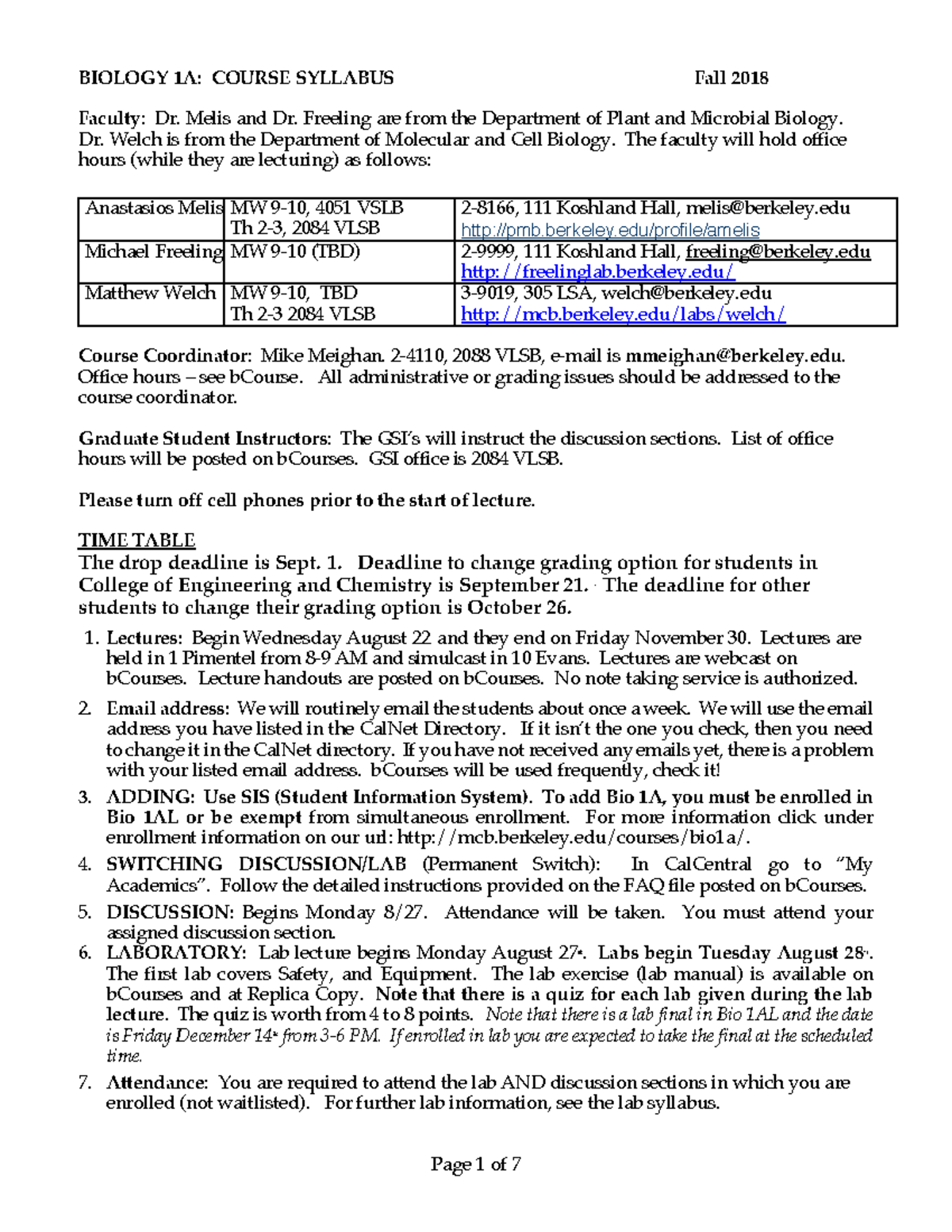
Bio 1A Fall 2018 Syllabus BIOLOGY 1A COURSE SYLLABUS Fall 2018
People UC Berkeley Department of Bioengineering
Fall 2022 UC Berkeley Department of Bioengineering
Masters Programs UC Berkeley Department of Bioengineering
Master of Engineering in Bioengineering UC Berkeley Department of
ENG 100 Lesson 1 បញ្ចេញសម្លេង ee & oo YouTube
Undergraduate Admissions UC Berkeley Department of Bioengineering
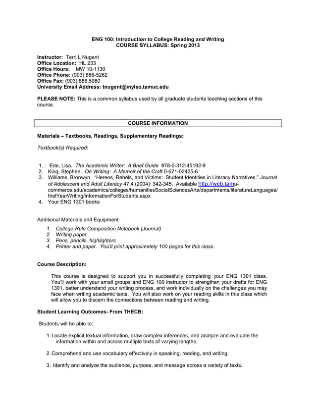
ENG 100
Bioengineering Courses UC Berkeley Department of Bioengineering
Master of Engineering in Bioengineering UC Berkeley Department of
Course Requirements // Department of Biological Sciences // University
IGCSE PHY CHEM BIO ENG, 興趣及遊戲, 書本 & 文具, 教科書 Carousell
2023 Bio E10 Syllabus Fall 2023 BioE 10 Introduction to Biomedicine
MEng Concentrations UC Berkeley Department of Bioengineering
Course reviews for INFO 159, ENVECON 118, BIOENG 100, and GEOG 185 r
Full Course Catalog List by edynamiclearning Issuu
Eng 100 syllabus PDF College Education Education
BIOENG121 Course UC Berkeley Catalog
Capstone Design Course UC Berkeley Department of Bioengineering
02Bio (Eng) PDF
eng 100 mentor syllabus 2
Eng 100 PDF
the Professor UC Berkeley Department of Bioengineering
(Video 4 of 6) UC Berkeley PreCollege Scholars Program Virtual Track
Undergraduate UC Berkeley Department of Bioengineering
UC Berkeley Department of Bioengineering — The future of biology. The
Course Book ENG 100 PDF
Undergraduate UC Berkeley Department of Bioengineering
Physiology Notes BIO ENG 110 Studocu
Training Catalog Template
Related Post:


























