Atnf Catalog
Atnf Catalog - Document Templates: These are used in word processing software for creating letters, resumes, reports, and other text-based documents. And a violin plot can go even further, showing the full probability density of the data. The weight and material of a high-end watch communicate precision, durability, and value. It was a slow, frustrating, and often untrustworthy affair, a pale shadow of the rich, sensory experience of its paper-and-ink parent. The printable economy is a testament to digital innovation. The creator of the chart wields significant power in framing the comparison, and this power can be used to enlighten or to deceive. Through the act of drawing, we learn to trust our instincts, embrace our mistakes, and celebrate our successes, all the while pushing the boundaries of our creativity and imagination. Lesson plan templates help teachers organize their curriculum and ensure that all necessary components are included. While the download process is generally straightforward, you may occasionally encounter an issue. 34 After each workout, you record your numbers. Upon opening the box, you will find the main planter basin, the light-support arm, the full-spectrum LED light hood, the power adapter, and a small packet containing a cleaning brush and a set of starter smart-soil pods. The faint, sweet smell of the aging paper and ink is a form of time travel. Because this is a hybrid vehicle, you also have an inverter coolant reservoir in addition to the engine coolant reservoir. Form is the embodiment of the solution, the skin, the voice that communicates the function and elevates the experience. We are sincerely pleased you have selected the Toyota Ascentia, a vehicle that represents our unwavering commitment to quality, durability, and reliability. But a great user experience goes further. The profit margins on digital products are extremely high. To install the new logic board, simply reverse the process. It’s a human document at its core, an agreement between a team of people to uphold a certain standard of quality and to work together towards a shared vision. This allows for creative journaling without collecting physical supplies. But how, he asked, do we come up with the hypotheses in the first place? His answer was to use graphical methods not to present final results, but to explore the data, to play with it, to let it reveal its secrets. The effectiveness of any printable chart, whether for professional or personal use, is contingent upon its design. They are organized into categories and sub-genres, which function as the aisles of the store. It is a sample not just of a product, but of a specific moment in technological history, a sample of a new medium trying to find its own unique language by clumsily speaking the language of the medium it was destined to replace. It is a screenshot of my personal Amazon homepage, taken at a specific moment in time. You will be asked to provide your home Wi-Fi network credentials, which will allow your planter to receive software updates and enable you to monitor and control it from anywhere with an internet connection. If you experience a flat tire, the first and most important action is to slow down gradually and pull over to a safe location, well away from flowing traffic. 54 In this context, the printable chart is not just an organizational tool but a communication hub that fosters harmony and shared responsibility. It's a way to make the idea real enough to interact with. The system supports natural voice commands, allowing you to control many features simply by speaking, which helps you keep your hands on the wheel and your eyes on the road. The sample is no longer a representation on a page or a screen; it is an interactive simulation integrated into your own physical environment. This first age of the printable democratized knowledge, fueled the Reformation, enabled the Scientific Revolution, and laid the groundwork for the modern world. A design system is essentially a dynamic, interactive, and code-based version of a brand manual. " It uses color strategically, not decoratively, perhaps by highlighting a single line or bar in a bright color to draw the eye while de-emphasizing everything else in a neutral gray. It should include a range of socket sizes, a few extensions, a universal joint, and a sturdy ratchet handle. And that is an idea worth dedicating a career to. Analyzing this sample raises profound questions about choice, discovery, and manipulation. Every action we take in the digital catalog—every click, every search, every "like," every moment we linger on an image—is meticulously tracked, logged, and analyzed. It feels like an attack on your talent and your identity. A fair and useful chart is built upon criteria that are relevant to the intended audience and the decision to be made. It is, first and foremost, a tool for communication and coordination. 10 The overall layout and structure of the chart must be self-explanatory, allowing a reader to understand it without needing to refer to accompanying text. This digital transformation represents the ultimate fulfillment of the conversion chart's purpose. The placeholder boxes and text frames of the template were not the essence of the system; they were merely the surface-level expression of a deeper, rational order. The bar chart, in its elegant simplicity, is the master of comparison. It depletes our finite reserves of willpower and mental energy. With each stroke of the pencil, pen, or stylus, artists bring their inner worlds to life, creating visual narratives that resonate with viewers on a profound level. These early nautical and celestial charts were tools of survival and exploration, allowing mariners to traverse vast oceans and astronomers to predict celestial events. The reaction was inevitable. As we continue on our journey of self-discovery and exploration, may we never lose sight of the transformative power of drawing to inspire, uplift, and unite us all. I now believe they might just be the most important. Please read this manual carefully before operating your vehicle. The information contained herein is based on the device's specifications at the time of publication and is subject to change as subsequent models are released. The foundation of any high-quality printable rests upon its digital integrity. We look for recognizable structures to help us process complex information and to reduce cognitive load. 58 By visualizing the entire project on a single printable chart, you can easily see the relationships between tasks, allocate your time and resources effectively, and proactively address potential bottlenecks, significantly reducing the stress and uncertainty associated with complex projects. And that is an idea worth dedicating a career to. These considerations are no longer peripheral; they are becoming central to the definition of what constitutes "good" design. Let us examine a sample from this other world: a page from a McMaster-Carr industrial supply catalog. 67In conclusion, the printable chart stands as a testament to the enduring power of tangible, visual tools in a world saturated with digital ephemera. Suddenly, graphic designers could sell their work directly to users. You could search the entire, vast collection of books for a single, obscure title. So grab a pencil, let your inhibitions go, and allow your creativity to soar freely on the blank canvas of possibility. The power this unlocked was immense. 8 This is because our brains are fundamentally wired for visual processing. This communicative function extends far beyond the printed page. It’s a return to the idea of the catalog as an edited collection, a rejection of the "everything store" in favor of a smaller, more thoughtful selection. This includes information on paper types and printer settings. Artists and designers can create immersive environments where patterns interact with users in real-time, offering dynamic and personalized experiences. Never use a metal tool for this step, as it could short the battery terminals or damage the socket. The layout is rigid and constrained, built with the clumsy tools of early HTML tables. " We can use social media platforms, search engines, and a vast array of online tools without paying any money. Search engine optimization on platforms like Etsy is also vital. This process imbued objects with a sense of human touch and local character. The aesthetic that emerged—clean lines, geometric forms, unadorned surfaces, and an honest use of modern materials like steel and glass—was a radical departure from the past, and its influence on everything from architecture to graphic design and furniture is still profoundly felt today. Understanding this grammar gave me a new kind of power. Incorporating Mindfulness into Journaling Overcoming Common Barriers to Journaling Drawing is a lifelong journey, and there's always something new to learn and explore. 12 This physical engagement is directly linked to a neuropsychological principle known as the "generation effect," which states that we remember information far more effectively when we have actively generated it ourselves rather than passively consumed it.The Green Bank North Celestial Cap Survey. VIII. 21 New Pulsar Timing
The frequency f and spindown rate ˙ f of the pulsar population. The
í µí± − í µí± diagram for pulsars based on data from the ATNF
Periodperiod derivative diagram for all known isolated pulsars. Black
PPT Pulsar Search Collaboratory PowerPoint Presentation, free
The predicted electron spectrum and positron fraction for pulsars in
(PDF) The ATNF Pulsar Catalogue DOKUMEN.TIPS
PPT ATNF Scientific Software an overview PowerPoint Presentation
ATNF catalog binary pulsars plotted in the a p P b plane and color
Join Us in VIRGINIA at American Tobacco & Nicotine Forum (ATNF)! ARAC
GitHub SevenSpheres/atnfpulsars ATNF pulsar catalog for Celestia
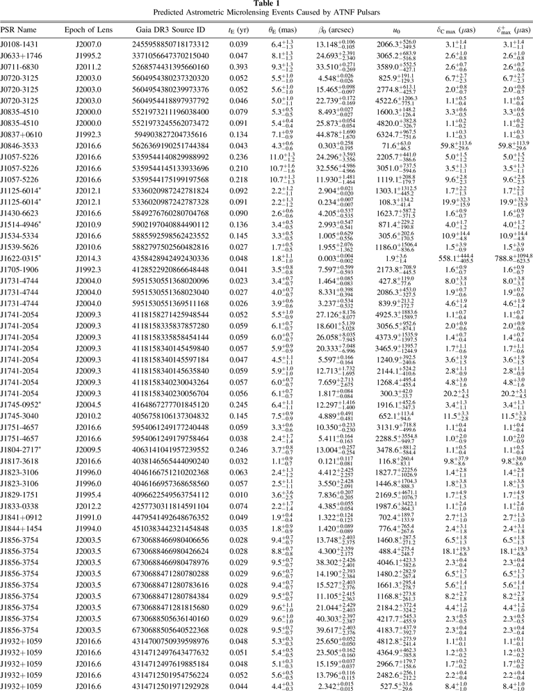
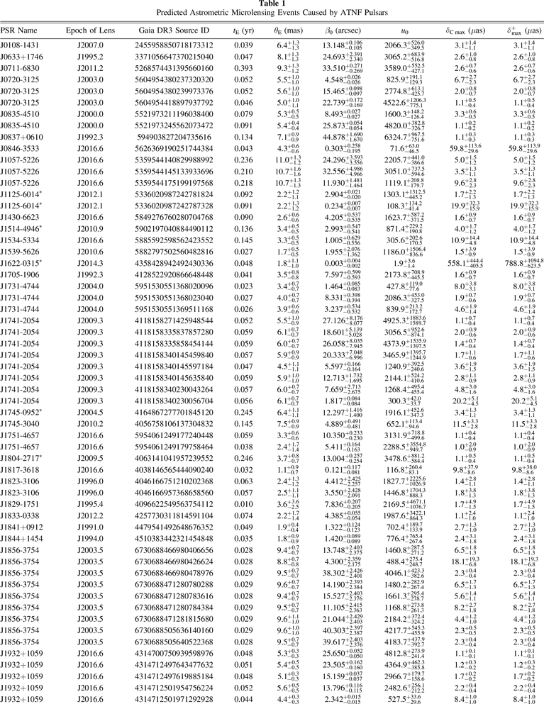
Prediction of Astrometric and Timing Microlensing Events with Pulsars
Week Three ATNF Catalog Activity Part 1 YouTube
The ATNF Pulsar Catalogue Documentation
P˙ P diagram for ≈ 1400 radio pulsars (dots) from the ATNF catalog
Frontiers The role of transient activity in timedomain and
Catalogue — pulsar_spectra 1.0 documentation
What We Do Apollo Telemedicine Networking Foundation (ATNF)
Spindown flux at Earth as a function of age for pulsars in the ATNF
All currently known pulsars with measured P and ˙ P. Data from the ATNF
Tutorial using the ATNF Pulsar Catalog YouTube
AntiTNFα antisenseoligonucleotideconjugated PLG nanoparticles
(PDF) psrqpy a python interface for querying the ATNF pulsar catalogue
ATNF Pulsar Data Access and Download Data Access Portal User Guide
The predicted flux from pulsars in the ATNF catalog calculated using
The galactic distribution of radio pulsars in the ATNF pulsar catalog
PPT Pulsar Search Collaboratory PowerPoint Presentation, free
P ˙ P diagram taken from the ATNF catalog (Manchester et al. 2005
Frequency and frequency derivative distribution of the new pulsars. The
(PDF) Introduction to ATNF Facilities DOKUMEN.TIPS
The values (P −3 , B 12 ) for the 1700 objects in the ATNF Pulsar
Pulsar spindown power versus age for all pulsars of the ATNF catalog
The period (P ) and its rate of change (dP/dt), for pulsars described
P˙ P diagram for ≈ 1400 radio pulsars (dots) from the ATNF catalog
Related Post:































