Asu Course Catalog Mat 423
Asu Course Catalog Mat 423 - It does not plead or persuade; it declares. They are acts of respect for your colleagues’ time and contribute directly to the smooth execution of a project. The printable template is the key that unlocks this fluid and effective cycle. 38 This type of introspective chart provides a structured framework for personal growth, turning the journey of self-improvement into a deliberate and documented process. 3 This guide will explore the profound impact of the printable chart, delving into the science that makes it so effective, its diverse applications across every facet of life, and the practical steps to create and use your own. These are technically printables, but used in a digital format. When I looked back at the catalog template through this new lens, I no longer saw a cage. The layout is rigid and constrained, built with the clumsy tools of early HTML tables. The "disadvantages" of a paper chart are often its greatest features in disguise. Every action we take in the digital catalog—every click, every search, every "like," every moment we linger on an image—is meticulously tracked, logged, and analyzed. It was a call for honesty in materials and clarity in purpose. Before you begin the process of downloading your owner's manual, a small amount of preparation will ensure everything goes smoothly. The subsequent columns are headed by the criteria of comparison, the attributes or features that we have deemed relevant to the decision at hand. Furthermore, the finite space on a paper chart encourages more mindful prioritization. 35 A well-designed workout chart should include columns for the name of each exercise, the amount of weight used, the number of repetitions (reps) performed, and the number of sets completed. If this box appears, we recommend saving the file to a location where you can easily find it later, such as your Desktop or a dedicated folder you create for product manuals. There is no shame in seeking advice or stepping back to re-evaluate. Reviewing your sketchbook can provide insights into your development and inspire future projects. The principles of good interactive design—clarity, feedback, and intuitive controls—are just as important as the principles of good visual encoding. In the event of a collision, your vehicle is designed to protect you, but your first priority should be to assess for injuries and call for emergency assistance if needed. 41 Different business structures call for different types of org charts, from a traditional hierarchical chart for top-down companies to a divisional chart for businesses organized by product lines, or a flat chart for smaller startups, showcasing the adaptability of this essential business chart. When properly implemented, this chart can be incredibly powerful. In this exchange, the user's attention and their presence in a marketing database become the currency. The ongoing task, for both the professional designer and for every person who seeks to improve their corner of the world, is to ensure that the reflection we create is one of intelligence, compassion, responsibility, and enduring beauty. This allows for easy loading and unloading of cargo without needing to put your items down. The Organizational Chart: Bringing Clarity to the WorkplaceAn organizational chart, commonly known as an org chart, is a visual representation of a company's internal structure. Even in a vehicle as reliable as a Toyota, unexpected situations can occur. Despite its numerous benefits, many people encounter barriers to journaling, such as time constraints, fear of judgment, and difficulty getting started. You have to give it a voice. They were an argument rendered in color and shape, and they succeeded. As individuals gain confidence using a chart for simple organizational tasks, they often discover that the same principles can be applied to more complex and introspective goals, making the printable chart a scalable tool for self-mastery. It is far more than a simple employee directory; it is a visual map of the entire enterprise, clearly delineating reporting structures, departmental functions, and individual roles and responsibilities. It is a chart that visually maps two things: the customer's profile and the company's offering. The very essence of what makes a document or an image a truly functional printable lies in its careful preparation for this journey from screen to paper. The very existence of a template is a recognition that many tasks share a common structure, and that this structure can be captured and reused, making the template a cornerstone of efficiency. The choice of yarn, combined with an extensive range of stitch patterns and techniques, allows knitters to create items that are truly one-of-a-kind. The principles of motivation are universal, applying equally to a child working towards a reward on a chore chart and an adult tracking their progress on a fitness chart. A printable offers a different, and in many cases, superior mode of interaction. Instead of flipping through pages looking for a specific topic, you can use the search tool within your PDF reader to find any word or phrase instantly. Neurological studies show that handwriting activates a much broader network of brain regions, simultaneously involving motor control, sensory perception, and higher-order cognitive functions. This catalog sample is a sample of a conversation between me and a vast, intelligent system. These details bring your drawings to life and make them more engaging. A beautifully designed public park does more than just provide open green space; its winding paths encourage leisurely strolls, its thoughtfully placed benches invite social interaction, and its combination of light and shadow creates areas of both communal activity and private contemplation. The first of these is "external storage," where the printable chart itself becomes a tangible, physical reminder of our intentions. We recommend performing a full cleaning of the planter every four to six months, or whenever you decide to start a new planting cycle. Embrace them as opportunities to improve and develop your skills. In the final analysis, the free printable represents a remarkable and multifaceted cultural artifact of our time. It is the practical solution to a problem of plurality, a device that replaces ambiguity with certainty and mental calculation with immediate clarity. This is why taking notes by hand on a chart is so much more effective for learning and commitment than typing them verbatim into a digital device. This was a huge shift for me. The chart becomes a space for honest self-assessment and a roadmap for becoming the person you want to be, demonstrating the incredible scalability of this simple tool from tracking daily tasks to guiding a long-term journey of self-improvement. This perspective champions a kind of rational elegance, a beauty of pure utility. After the machine is locked out, open the main cabinet door. You may also need to restart the app or your mobile device. It's an active, conscious effort to consume not just more, but more widely. This article explores the multifaceted nature of pattern images, delving into their historical significance, aesthetic appeal, mathematical foundations, and modern applications. It’s the moment you realize that your creativity is a tool, not the final product itself. The process of digital design is also inherently fluid. You can print as many copies of a specific page as you need. A classic print catalog was a finite and curated object. It’s about having a point of view, a code of ethics, and the courage to advocate for the user and for a better outcome, even when it’s difficult. He just asked, "So, what have you been looking at?" I was confused. This methodical dissection of choice is the chart’s primary function, transforming the murky waters of indecision into a transparent medium through which a reasoned conclusion can be drawn. And it is an act of empathy for the audience, ensuring that their experience with a brand, no matter where they encounter it, is coherent, predictable, and clear. If you are certain it is correct, you may also try Browse for your product using the category navigation menus, selecting the product type and then narrowing it down by series until you find your model. These templates are not inherently good or bad; they are simply the default patterns, the lines of least resistance for our behavior. A beautifully designed chart is merely an artifact if it is not integrated into a daily or weekly routine. Lastly, learning to draw is an ongoing process of growth and refinement. And the 3D exploding pie chart, that beloved monstrosity of corporate PowerPoints, is even worse. The first principle of effective chart design is to have a clear and specific purpose. The low initial price of a new printer, for example, is often a deceptive lure. The moment I feel stuck, I put the keyboard away and grab a pen and paper. It begins with an internal feeling, a question, or a perspective that the artist needs to externalize. Drawing encompasses a wide range of styles, techniques, and mediums, each offering its own unique possibilities and challenges. It's a way to make the idea real enough to interact with. Caricatures take this further by emphasizing distinctive features. I think when I first enrolled in design school, that’s what I secretly believed, and it terrified me. 39 This type of chart provides a visual vocabulary for emotions, helping individuals to identify, communicate, and ultimately regulate their feelings more effectively.PPT mat e 423 PowerPoint Presentation, free download ID149681
MAT 210 Exam 3 Review Mat 210 MAT 210 Exam 3 Review Questions
MAT210 Brief Calculus Instructor Email Homework site webassign ASU
Mat 1033 and Ids 2391 Formula Sheet Download Printable PDF Templateroller
MAT 265 Syllabus Spring 2024 Instructor Dr. Richard Ruedemann Email
ASU Digital Learning Catalog by Arizona State University Issuu
Master the MAT Oxbridge Mind
Faculty Computer Sciences AND Mathematic 2018 Session 1 Degree MAT423
SOLUTION ASU MAT 265 Calculus for Engineers I Exams with Answer Keys
MAT251 20 These practice questions are used to help students
University Courses Catalog Template, Print Templates GraphicRiver
SOLUTION Asu mat 266 exam 1 review answer keys Studypool
Mat 117 Answers, College Algebra (ASU) Pay us to do Math assignments
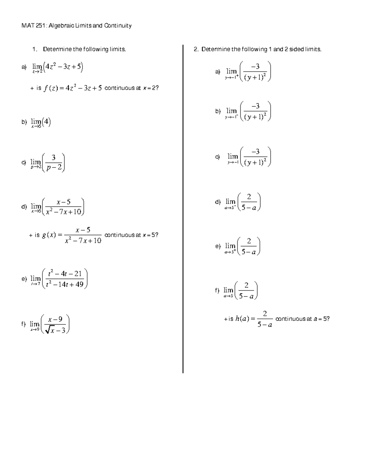
MAT251 02 for calculus MAT 251 Algebraic Limits and Continuity 1
Solved Arizona S... l LTE 223 PM myasucourses.asu.edu My
MAT 271 Test 2 Marking key Question 1 MAT 271 ResitTest 2 0lllLl (a
(ASU) MAT 265 Calculus For Engineers Fall Final Exam 2024 Guide
Full Course Catalog List by edynamiclearning Issuu
ASU Mat 275 Modern Differential Equations Arizona State 10th Ed
Photos Simon A. Levin Mathematical, Computational and Modeling
SOLUTION Asu mat 266 exam 3 review answer keys Studypool
MAT 267
MAT423202425Problem Sheet 2 MAT423 Problem Sheet 2 Test3 23
SOLUTION ASU MAT 265 Calculus for Engineers I Exams with Answer Keys
Our Alumni Network School of Politics and Global Studies
SOLUTION Asu mat 266 final exam review answer keys Studypool
142_syllabus_fall201.. Arizona State University
SOLUTION ASU MAT 265 Calculus for Engineers I Exams with Answer Keys
MAT 266 Study Guide Winter 2018, Midterm Squeeze Theorem, Partial
Simple Syllabus
MUSIC 464 Methods and Materials for the Studio Modern Campus Catalog™
GitHub overclass/MAT243 Homework and extra credit assignments for
DAT 250 DAT 300 MAT 343 CIS 236 is this manageable? r/ASU
MAT423 Outline For maths students MASINDE MULIRO UNIVERSITY OF
Related Post:





















