Applied Calculus Ii Course Description Catalog
Applied Calculus Ii Course Description Catalog - It’s the understanding that the power to shape perception and influence behavior is a serious responsibility, and it must be wielded with care, conscience, and a deep sense of humility. This is the moment the online catalog begins to break free from the confines of the screen, its digital ghosts stepping out into our physical world, blurring the line between representation and reality. They are the very factors that force innovation. The most literal and foundational incarnation of this concept is the artist's value chart. The maker had an intimate knowledge of their materials and the person for whom the object was intended. The Tufte-an philosophy of stripping everything down to its bare essentials is incredibly powerful, but it can sometimes feel like it strips the humanity out of the data as well. A printable is essentially a digital product sold online. I saw a carefully constructed system for creating clarity. The cost of any choice is the value of the best alternative that was not chosen. Engaging with a supportive community can provide motivation and inspiration. And a violin plot can go even further, showing the full probability density of the data. It also forced me to think about accessibility, to check the contrast ratios between my text colors and background colors to ensure the content was legible for people with visual impairments. The hydraulic system operates at a nominal pressure of 70 bar, and the coolant system has a 200-liter reservoir capacity with a high-flow delivery pump. These aren't just theories; they are powerful tools for creating interfaces that are intuitive and feel effortless to use. There’s this pervasive myth of the "eureka" moment, the apple falling on the head, the sudden bolt from the blue that delivers a fully-formed, brilliant concept into the mind of a waiting genius. A well-placed family chore chart can eliminate ambiguity and arguments over who is supposed to do what, providing a clear, visual reference for everyone. We have explored the diverse world of the printable chart, from a student's study schedule and a family's chore chart to a professional's complex Gantt chart. This feature activates once you press the "AUTO HOLD" button and bring the vehicle to a complete stop. In recent years, the very definition of "printable" has undergone a seismic and revolutionary expansion with the advent of 3D printing. The grid ensured a consistent rhythm and visual structure across multiple pages, making the document easier for a reader to navigate. These aren't meant to be beautiful drawings. Ensure the gearshift lever is in the Park (P) position. By investing the time to learn about your vehicle, you ensure not only your own safety and the safety of your passengers but also the longevity and optimal performance of your automobile. To do this, always disconnect the negative terminal first and reconnect it last to minimize the risk of sparking. Loosen and remove the drive belt from the spindle pulley. It is the act of making the unconscious conscious, of examining the invisible blueprints that guide our reactions, and of deciding, with intention, which lines are worth tracing and which new paths we need to draw for ourselves. Keeping your vehicle clean is not just about aesthetics; it also helps to protect the paint and bodywork from environmental damage. Our problem wasn't a lack of creativity; it was a lack of coherence. This represents a radical democratization of design. This helps to prevent squealing. Market research is essential to understand what customers want. It's a way to make the idea real enough to interact with. It's a single source of truth that keeps the entire product experience coherent. This allows for affordable and frequent changes to home decor. It transforms abstract goals, complex data, and long lists of tasks into a clear, digestible visual format that our brains can quickly comprehend and retain. The fundamental grammar of charts, I learned, is the concept of visual encoding. If the app indicates a low water level but you have recently filled the reservoir, there may be an issue with the water level sensor. It is a compressed summary of a global network of material, energy, labor, and intellect. Failure to properly align the spindle will result in severe performance issues and potential damage to the new bearings. I think when I first enrolled in design school, that’s what I secretly believed, and it terrified me. A single page might contain hundreds of individual items: screws, bolts, O-rings, pipe fittings. They are the first clues, the starting points that narrow the infinite universe of possibilities down to a manageable and fertile creative territory. I had been trying to create something from nothing, expecting my mind to be a generator when it's actually a synthesizer. I see it as a craft, a discipline, and a profession that can be learned and honed. It shows us what has been tried, what has worked, and what has failed. Using techniques like collaborative filtering, the system can identify other users with similar tastes and recommend products that they have purchased. The Bible, scientific treatises, political pamphlets, and classical literature, once the exclusive domain of the clergy and the elite, became accessible to a burgeoning literate class. These motivations exist on a spectrum, ranging from pure altruism to calculated business strategy. The industry will continue to grow and adapt to new technologies. I now believe they might just be the most important. 22 This shared visual reference provided by the chart facilitates collaborative problem-solving, allowing teams to pinpoint areas of inefficiency and collectively design a more streamlined future-state process. But it was the Swiss Style of the mid-20th century that truly elevated the grid to a philosophical principle. A print template is designed for a static, finite medium with a fixed page size. It's an active, conscious effort to consume not just more, but more widely. Begin by powering down the device completely. It is the act of making the unconscious conscious, of examining the invisible blueprints that guide our reactions, and of deciding, with intention, which lines are worth tracing and which new paths we need to draw for ourselves. While digital planners offer undeniable benefits like accessibility from any device, automated reminders, and easy sharing capabilities, they also come with significant drawbacks. The first of these is "external storage," where the printable chart itself becomes a tangible, physical reminder of our intentions. Welcome to the growing family of NISSAN owners. The template is no longer a static blueprint created by a human designer; it has become an intelligent, predictive agent, constantly reconfiguring itself in response to your data. An error in this single conversion could lead to a dangerous underdose or a toxic overdose. Nature has already solved some of the most complex design problems we face. Dynamic Radar Cruise Control is an adaptive cruise control system that is designed to be used on the highway. 33 Before you even begin, it is crucial to set a clear, SMART (Specific, Measurable, Attainable, Relevant, Timely) goal, as this will guide the entire structure of your workout chart. We find it in the first chipped flint axe, a tool whose form was dictated by the limitations of its material and the demands of its function—to cut, to scrape, to extend the power of the human hand. In these instances, the aesthetic qualities—the form—are not decorative additions. Navigate to the location where you saved the file. The field of biomimicry is entirely dedicated to this, looking at nature’s time-tested patterns and strategies to solve human problems. This was a feature with absolutely no parallel in the print world. The true art of living, creating, and building a better future may lie in this delicate and lifelong dance with the ghosts of the past. It was in the crucible of the early twentieth century, with the rise of modernism, that a new synthesis was proposed. Apply a new, pre-cut adhesive gasket designed for the ChronoMark to ensure a proper seal and water resistance. Another fundamental economic concept that a true cost catalog would have to grapple with is that of opportunity cost. As individuals gain confidence using a chart for simple organizational tasks, they often discover that the same principles can be applied to more complex and introspective goals, making the printable chart a scalable tool for self-mastery. This focus on the user naturally shapes the entire design process. 94Given the distinct strengths and weaknesses of both mediums, the most effective approach for modern productivity is not to choose one over the other, but to adopt a hybrid system that leverages the best of both worlds. A good search experience feels like magic. It is a process of unearthing the hidden systems, the unspoken desires, and the invisible structures that shape our lives.Applied Calculus Ver. 3 (PENERBIT UMPSA) Shopee Malaysia
Applied Calculus II Course Outline MATH 1014
Calculus II For Dummies
Calculus II Course Outline PDF Integral Function (Mathematics)
AP Calculus Ab and BC Course and Exam Description PDF Advanced
General Calculus II PDF PDF Series (Mathematics) Integral
MATH 220 (Calculus II) Syllabus
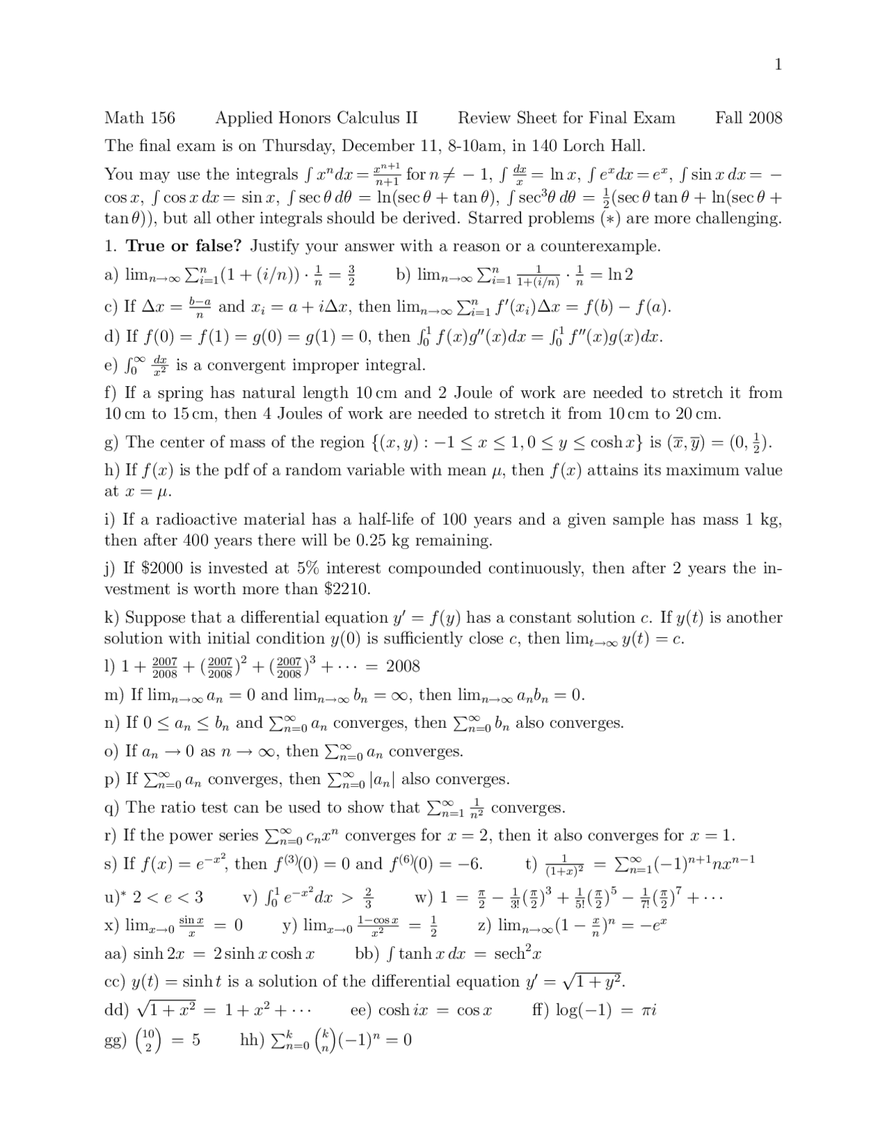
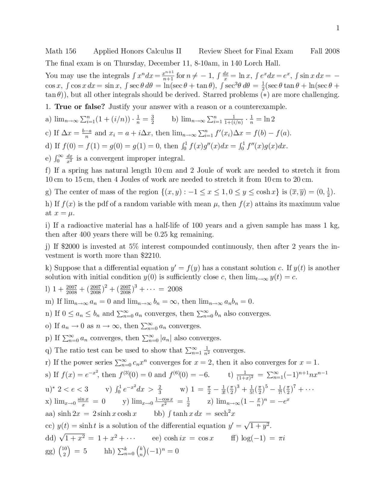
Math 156 Applied Honors Calculus II
Calculus II Syllabus Fall 2015
Calculus II Course Outline 2021/22 PDF Integral Power Series
Calculus II Syllabus Fall 2023 PDF Integral Power Series
section 8.2 volume and average value MATH 1122 Applied Calculus II
Applied Calculus NS 128 APPLIED CALCULUS (3) Objective The aim of
Calculus 2 Full Guide Master All the Chapters in 10 Minutes
CalculusII Lec Notes (Set 1) SMA 2102 CALCULUS II cFrancis O
Applied Calculus II for Honors Final Review Sheet MATH 156 Docsity
A17 201NYB Calculus II Science COURSE OUTLINE Calculus II COURSE
Exam 2 review guide covers sections 7.17.6, 8.18.4 e MATH 1122
Buy Calculus + Brief Calculus + Applied Calculus An Applied Approach
Calculus 2 Cheat Sheet
Catalog Description Course Outline for Mathematics 1W CALCULUS I
Applied Mathematics and Fractional Calculus II PDF Mathematics
Buy Applied Calculus Book Online at Low Prices in India Applied
Calculus II Cheat Sheet Series Download Printable PDF Templateroller
Calculus II Online Course Guidelines 1 Calculus II Online Course
Calculus II Course Outline and Topics XEQ 201 Studocu
(PDF) Applied Mathematics and Fractional Calculus II
Calculus II Course Overview PDF Integral Calculus
APPLIED CALCULUS for Business, Economics, Life Sciences and Social
PPT Applied Calculus II PowerPoint Presentation, free download ID
Applied Calculus Course
24SS Calculus II Course Policies Calculus II Course Policies
AE Applied Calculus
Calculus II Practice Problems, Methods, and Solutions Rahmani
Related Post:

















